1answer.
Ask question
Login Signup
Ask question
All categories
  • English
  • Mathematics
  • Social Studies
  • Business
  • History
  • Health
  • Geography
  • Biology
  • Physics
  • Chemistry
  • Computers and Technology
  • Arts
  • World Languages
  • Spanish
  • French
  • German
  • Advanced Placement (AP)
  • SAT
  • Medicine
  • Law
  • Engineering
soldier1979 [14.2K]
3 years ago
7

Find all the zeroes of polynomial 2x4

Mathematics
1 answer:
PSYCHO15rus [73]3 years ago
4 0

9514 1404 393

Answer:

  x ∈ {-1/2, 1, 2-√3, 2+√3}

Step-by-step explanation:

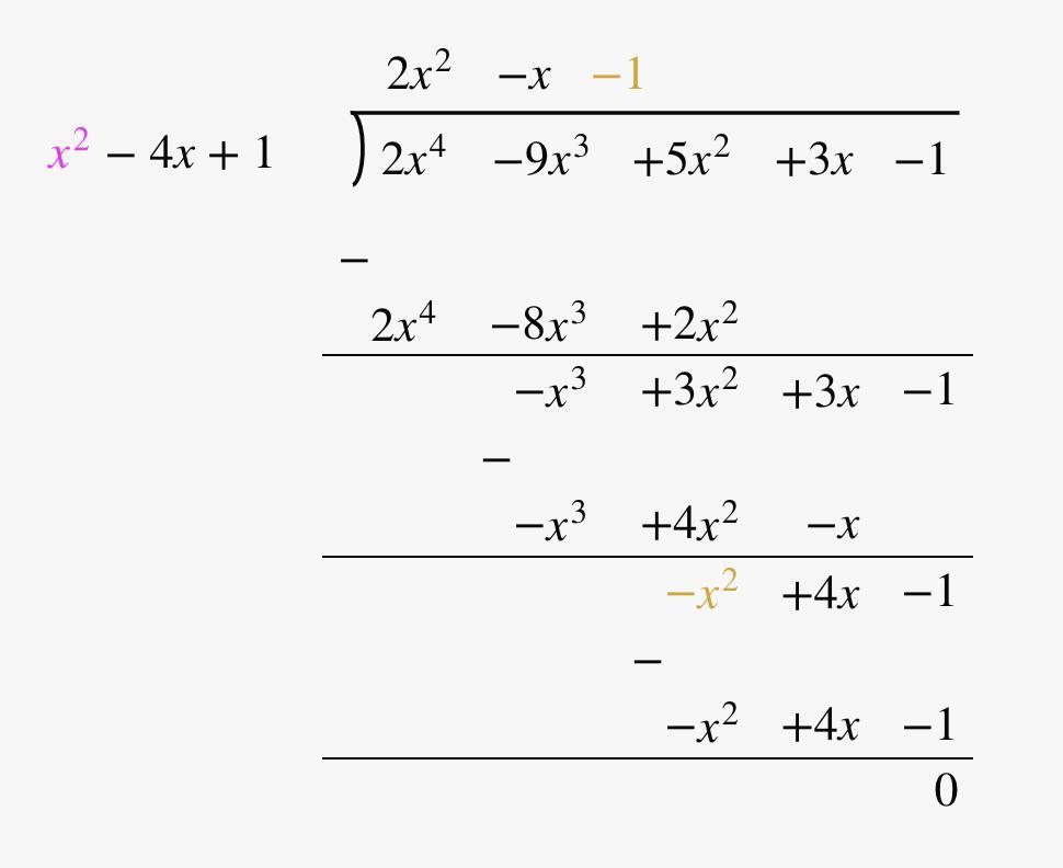
The given zeros mean that one of the quadratic factors of the given polynomial is ...

  (x -2)^ -3 = x^2 -4x +1

When that is factored out (see first attachment), the remaining quadratic is ...

  2x^2 -x -1

This can be factored as ...

  = (2x +1)(x -1)

which has roots that make these factors zero: x = -1/2, x = 1.

So, all of the zeros of the given polynomial are ...

  -1/2, 1, 2-√3, 2+√3 . . . all zeros

__

A graphing calculator can often point to the zeros of the function quite nicely.

_____

<em>Additional comments</em>

When p is a zero of a polynomial, (x-p) is a factor of it. The given zeros mean that factors are (x-2-√3) and (x-2+√3). The product of these factors is the difference of the squares (x-2)^2 and (√3)^2, so is (x -2)^2 -3.

Using the pattern for the square of a binomial, we see this is ...

  (x-2)^2 = x^2 -2·2x +2^2 = x^2 -4x +4

The product of the given factor is then 3 subtracted from this square. The given zeros mean there is a quadratic factor of ...

  (x-2-√3)(x-2+√3) = (x-2)^2 -3 = x^2 -4x +4 -3 = <u>x^2 -4x +1</u>

You might be interested in
Use pemdas 3 x (5 - 1) + 13 write 3 steps
ehidna [41]
<h2>25 </h2>

Step-by-step explanation:

<h3><em>=</em><em> </em><em>3</em><em> </em><em>×</em><em> </em><em>(</em><em>5</em><em> </em><em>-</em><em> </em><em>1</em><em>)</em><em> </em><em>+</em><em> </em><em>1</em><em>3</em></h3><h3><em>=</em><em> </em><em>3</em><em> </em><em>×</em><em> </em><em>4</em><em> </em><em>+</em><em> </em><em>1</em><em>3</em></h3><h3><em>=</em><em> </em><em>1</em><em>2</em><em> </em><em>+</em><em> </em><em>1</em><em>3</em></h3><h3><em>=</em><em> </em><em>2</em><em>5</em></h3>

<h2>MARK ME BRAINLIST</h2>

PLZ FOLLOW ME

5 0
3 years ago
How are piecewise functions and infinite limits alike? How are they different?
Shtirlitz [24]

Answer: i got 100% on the journal activity on EDGE with this “ The difference of piecewise functions and infinite limits is the graphs, with piecewise functions you're graphing several equations... when looking at a graph with an infinite limit there is a difference. A similarity they do have is their end points.” I haven’t been paying attention at all so this I made this up and some how it works(?!)

Step-by-step explanation: I’m not sure if it’s even correct but it worked as a response!

3 0
3 years ago
How many 1/6 cups of raisins are in 3/2 cups of raisins?
lisabon 2012 [21]
3/2 = 9/6
1/6 x 9 = 9/6

9
8 0
3 years ago
-9a + 11ad - 35a + ad
34kurt
-9a + 11ad - 35a + ad = -44a + 12ad

hope this helps
4 0
3 years ago
Read 2 more answers
Please help me asap!!!
Anastasy [175]

Answer:

C) 75

Step-by-step explanation:

I got this because what you have to do, they all have to add up to 180. so what you do is:

2x + 30 = 180

      -30    -30

2x = 150

2x/2 = 150/2

x = 75

6 0
3 years ago
Other questions:
  • Identify the numerical coefficient of the term -13x^2y
    10·1 answer
  • Noah brought 1 fishing pole, 2 corks, and 1 worms. What is the total cost? Each fish cost $2. Corks is 2 fish, poles is 5 fish,
    11·2 answers
  • Help me please!! I am so confused!!
    7·1 answer
  • Ax^2+bx+c=(x+p)(x+q) What you know about p and q if c is less than 0. WILL MAKE BRAINLIEST!! If u provide EXPLANATION :)
    8·1 answer
  • Solve and find value of y 3x/5x+2=-4
    7·1 answer
  • Justin and Austin decide to play catch after school. They start at the same point.
    8·2 answers
  • PLEASE ANY REAL PERSON WHO CAN HELP ME IVE BEEN WAITING LIKE 30 MINUTES
    13·1 answer
  • Please help for number 8 I don't understand.
    15·1 answer
  • Evaluate 4a for a = 5 . Express your answer in simplest form.<br> 20<br> 22<br> 45<br> 20
    10·2 answers
  • Find each missing measure in the diagram below.
    8·1 answer
Add answer
Login
Not registered? Fast signup
Signup
Login Signup
Ask question!