1answer.
Ask question
Login Signup
Ask question
All categories
  • English
  • Mathematics
  • Social Studies
  • Business
  • History
  • Health
  • Geography
  • Biology
  • Physics
  • Chemistry
  • Computers and Technology
  • Arts
  • World Languages
  • Spanish
  • French
  • German
  • Advanced Placement (AP)
  • SAT
  • Medicine
  • Law
  • Engineering
Shalnov [3]
3 years ago
12

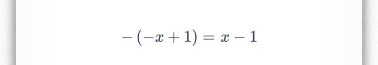
Is this answer infinite solutions, one solution or no solution?

Mathematics
1 answer:
Colt1911 [192]3 years ago
8 0

Answer: Infinite solutions.

You might be interested in
Find the constant of proportionality for the table of values.
Anna [14]

The constant of proportionality k is 3.5

Step-by-step explanation:

Proportionality describes any relationship that is always in the same

ratio

If two quantities x and y are in proportionality, then

1. y ∝ x

2. y = k x , where k is the constant of proportionality

∵ x ⇒    6    ,    7      ,    8    ,    9

∵ y ⇒    21   ,   24.5 ,    28  ,    31.5  

∵ y ∝ x

∴ y = k x

- Use x = 6 and y = 21 to find the value of k

∵ x = 6 and y = 21

∴ 21 = k (6)

- Divide both sides by 6

∴ k = 3.5

- Use x = 7 and y = 24.5 to find the value of k

∵ x = 7 and y = 24.5

∴ 24.5 = k (7)

- Divide both sides by 7

∴ k = 3.5

- Use x = 8 and y = 28 to find the value of k

∵ x = 8 and y = 28

∴ 28 = k (8)

- Divide both sides by 8

∴ k = 3.5

- Use x = 9 and y = 31.5 to find the value of k

∵ x = 9 and y = 31.5

∴ 31.5 = k (9)

- Divide both sides by 9

∴ k = 3.5

The constant of proportionality k is 3.5

Learn more:

You can learn more about proportionality in brainly.com/question/10708697

#LearnwithBrainly

4 0
4 years ago
How to find the area of the compound figure
Oksana_A [137]
The total area is 84m.

Work is in the image, feel free to ask if you don’t understand it.

Hope this helped :)

3 0
3 years ago
Write the equation for the line that passes through (-6, 1) and is perpendicular to
Dahasolnce [82]

Answer

(3,-2)

Explanation step by step

<em>y</em><em>=</em><em> </em><em> </em><em>-</em><em>2</em><em>x</em><em>-</em><em>9</em>

<em> </em><em> </em><em> </em><em>=</em><em> </em><em>-</em><em>2</em><em>(</em><em>-</em><em>6</em><em>,</em><em>1</em><em>)</em><em>-</em><em>9</em>

<em>=</em><em> </em><em>(</em><em>1</em><em>2</em><em>,</em><em>-</em><em>2</em><em>)</em><em>-</em><em>9</em>

<em>=</em><em>(</em><em>3</em><em>,</em><em>-</em><em>2</em><em>)</em>

8 0
4 years ago
The new number, 550, is 200 more than the original number. What is the approximate percent change?a The percent change is 33%. b
Svetradugi [14.3K]
B The percentage change is 55%
8 0
4 years ago
Read 2 more answers
The new dolphin tank at the aquarium has a radius of 75 feet and a height of 20 feet. What is the volume of the dolphin tank?
user100 [1]

Answer: The answer is the first one. 9,420.0 cubic feet

Step-by-step explanation:

5 0
3 years ago
Other questions:
  • Describe how to determine the average rate of change between x = 3 and x = 5 for the function f(x) = 3x3 + 2. Include the averag
    13·1 answer
  • Graph the system and name three ordered pair solutions. y &lt; 4 and x &lt; 1
    14·1 answer
  • PLEASE HELP 60 POINTS!
    15·1 answer
  • Can anyone help me please? it’s urgent.
    11·1 answer
  • William has a 22 ounce coffee. He drinks 2 ounces. Enter the percentage of ounces William has left of his coffee. Round your ans
    10·1 answer
  • Teddy is seven times older than Bella. If Teddy is 42 years old, how old is Bella? Write an equation to solve for Bella's age.
    15·2 answers
  • Can anybody help me solve for surface area?<br><br><br> (Formula=add all the areas of the faces)
    13·1 answer
  • Which of the following statements is false?
    12·2 answers
  • This makes no sense, help pls
    5·1 answer
  • Please help!! Will give brainliest.
    7·1 answer
Add answer
Login
Not registered? Fast signup
Signup
Login Signup
Ask question!