1answer.
Ask question
Login Signup
Ask question
All categories
  • English
  • Mathematics
  • Social Studies
  • Business
  • History
  • Health
  • Geography
  • Biology
  • Physics
  • Chemistry
  • Computers and Technology
  • Arts
  • World Languages
  • Spanish
  • French
  • German
  • Advanced Placement (AP)
  • SAT
  • Medicine
  • Law
  • Engineering
Naddik [55]
3 years ago
7

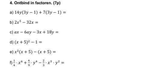
Pls solve hurry!!!!!!!!

Mathematics
1 answer:
AysviL [449]3 years ago
8 0

Answer:

100 POINTS! (50 split up) PLSSSSSSSSSS HELP!!! I REALLY NEED IT SO MUCH :( I PROMICE TO GIVE BRAINLIEST AND FIVE STARS AND A THANKS! 6TH GRADE SCIENCE! i used all my points for this!

You measure the mass of an apple using a balance. You get these three measurements:

Trial 1: 167.0 g

Trial 2: 166.9 g

Trial 3: 167.2 g

You know that the true mass of the apple is 172 g. Describe your results in terms of precision and accuracy. Explain your answer in a paragraph for the best grade.

Step-by-step explanation:

You might be interested in
Which orderd pair is a solution to this equation? -2x-y=4
nevsk [136]
To find the ordered pair solution, you need to find the zero(s) (which are the x-values for which y is equal to zero). This is called the Zero Product Property. Here's the math:

-2x-y=4             convert the equation into slope form

-y=2x+4            multiply both sides by -1

y=-2x-4             convert into factored form

y=-2(x+2)          now, we need to find what x equals that makes y equal zero

0=-2(x+2)          replace y with zero

0/-2=x+2           divide both sides by -2

-2=x                  x=-2 when y=0

Therefore, the zero of the equation (aka the solution) is the ordered pair (-2,0). 

Answer: (-2,0)

If you have access to a graphing calculator, you can just convert the equation to y=mx+b form and enter it as a function. The solution is wherever the graph intercepts the x-axis. Hope this helps!



5 0
4 years ago
Kaith has 7 yards of string. How many inches of string does he have
fenix001 [56]
Every yard has 36 inches, so 7 yards is 252 inches
5 0
4 years ago
Read 2 more answers
What is the most important thing that must be true about a sample so that you can make a valid inference about population
exis [7]
<span>Unless you have some other choices, I'd have to say Stratification, to make sure the groups are representative and heterogeneous.

I hope I helped.</span>
4 0
4 years ago
Plz help i will give branlyist to first right answer
RideAnS [48]
P = (2.5,0)
T=(-1.5,-1)
Point R is located (1.5 -2.5)
5 0
3 years ago
Read 2 more answers
Is hunter license a form of a tax
puteri [66]
A hunting license is not a from of tax it is a form of license that allows you to hunt game and only costs each time for renewal of the right
<span />
8 0
4 years ago
Other questions:
  • Write a recursive function for this sequence <br> 8,12,18,27..
    5·1 answer
  • 10 out of every 65 students order pizza for lunch. There are 416 students at her school. How many students will eat pizza at her
    6·1 answer
  • Between what two data values is there the largest gap?
    6·2 answers
  • A car drives 50 miles east then 40 miles due north how far is it from were he started
    10·2 answers
  • Vowels to consonants in RATIO​
    15·2 answers
  • What would be the value of $150 after eight years if you earn 12 percent interest per year? $371.39 $415.96 $465.88
    10·2 answers
  • Simplify.<br> (x3)4 · X-3<br> Ox4<br> 0<br> 0x21<br> 0x36
    10·1 answer
  • Who Can Answer this first for Extra Points? ( Must be correct )
    15·1 answer
  • Ellie deposited $650 into her savings account. She then saved $150 per month. Which of the following equations shows a, the amou
    11·1 answer
  • C + 15 = 23c + 2 − 43c What is the value of c that makes the equation true?
    9·2 answers
Add answer
Login
Not registered? Fast signup
Signup
Login Signup
Ask question!