1answer.
Ask question
Login Signup
Ask question
All categories
  • English
  • Mathematics
  • Social Studies
  • Business
  • History
  • Health
  • Geography
  • Biology
  • Physics
  • Chemistry
  • Computers and Technology
  • Arts
  • World Languages
  • Spanish
  • French
  • German
  • Advanced Placement (AP)
  • SAT
  • Medicine
  • Law
  • Engineering
Inessa [10]
3 years ago
11

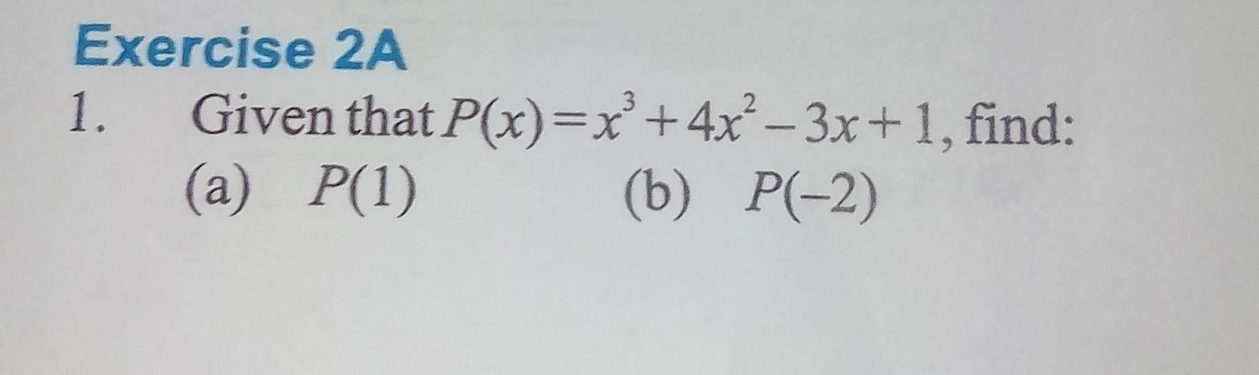
Hi. I need help with these questions. See image for question.

Mathematics
2 answers:
Charra [1.4K]3 years ago
4 0

Answer:

(a) P(1) = 3

(b) P(-2) = 15

General Formulas and Concepts:

<u>Pre-Algebra</u>

Order of Operations: BPEMDAS

  1. Brackets
  2. Parenthesis
  3. Exponents
  4. Multiplication
  5. Division
  6. Addition
  7. Subtraction
  • Left to Right

<u>Algebra I</u>

  • Function Notation

Step-by-step explanation:

<u>Step 1: Define</u>

P(x) = x³ + 4x² - 3x + 1

P(1) is x = 1

P(-2) is x = -2

<u>Step 2: Evaluate</u>

<em>P(1)</em>

  1. Substitute:                    P(1) = 1³ + 4(1)² - 3(1) + 1
  2. Exponents:                   P(1) = 1 + 4(1) - 3(1) + 1
  3. Multiply:                        P(1) = 1 + 4 - 3 + 1
  4. Add:                              P(1) = 5 - 3 + 1
  5. Subtract:                       P(1) = 2 + 1
  6. Add:                              P(1) = 3

<em>P(-2)</em>

  1. Substitute:                    P(-2) = (-2)³ + 4(-2)² - 3(-2) + 1
  2. Exponents:                   P(-2) = -8 + 4(4) - 3(-2) + 1
  3. Multiply:                        P(-2) = -8 + 16 + 6 + 1
  4. Add:                              P(-2) = 8 + 6 + 1
  5. Add:                              P(-2) = 14 + 1
  6. Add:                              P(-2) = 15
Sonbull [250]3 years ago
4 0

Answer:

  • a) 3
  • b) 15

Step-by-step explanation:

<h3>Given</h3>
  • P(x) = x³ + 4x² - 3x + 1
<h3>Find</h3>
  • a) P( 1 ), b) P( - 2)
<h3>Solution</h3>

<u>Substitute the value of x:</u>

a) P(x) = x³ + 4x² - 3x + 1

  • P(1) = 1³ + 4(1)² - 3(1) + 1 = 1 + 4 - 3 + 1 = 3
  • P(1) = 3

b) P(x) = x³ + 4x² - 3x + 1

  • P(-2) = (-2)³ + 4(-2)² - 3(-2) + 1 = -8 + 16 + 6 + 1 = 15
  • P(-2) = 15
You might be interested in
Sara went to her local zoo that featured 24 reptile exhibits. If these reptile exhibits
Zanzabum

Answer:

19

Step-by-step explanation:

You take 80% of 24. and do 24 x 80. Round to the nearest whole number.

8 0
3 years ago
Jeremy says that the absolute value of 6 is -6. Is he correct? Explain.
emmasim [6.3K]

Answer:

Jermey is not correct because abouslte value is always postive

Step-by-step explanation:

3 0
3 years ago
Read 2 more answers
Rewrite the radical as a rational exponent. the cube root of 2 to the seventh power
posledela
I would say the answer is B because A would be going to a thousand and you dont wanna do that so i think its a 50% chance its B

6 0
4 years ago
Read 2 more answers
1) If 2x + 3y = 12 and xy = 6, find the value of 4x2 +9y2.​
d1i1m1o1n [39]

Answer:

72

Step-by-step explanation:

Given that 2x + 3y = 12 , then

(2x + 3y)² = 12² = 144 ← distribute left side using FOIL

4x² + 12xy + 9y² = 144 ( subtract 12xy from both sides )

4x² + 9y² = 144 - 12xy = 144 - 12(6) = 144 - 72 = 72

3 0
4 years ago
Divide 42 in a ratio of 1:2:3
egoroff_w [7]
<span><span>If you would like to </span>divide 42 in the ratio of 1 : 2 : 3, you can do this using the following two steps:<span>

<span>First, add the numbers: </span>1 + 2 + 3 = 6
<span>Second, divide and multiply: 1</span> / 6 * 42 = 7
                                             2 / 6 * 42 = 14
                                             3 / 6 * 42 = 21

<span>The result you are looking for is </span>7 : 14 : 21<span>.</span></span></span>
8 0
4 years ago
Read 2 more answers
Other questions:
  • chris has 63 dollars to spend on the order including tax the tax at the restaurant is 5 percent . what is the maximum cost of fo
    7·1 answer
  • Identify whether the series summation of 16 open parentheses 5 close parentheses to the I minus 1 power from 1 to infinity is a
    12·2 answers
  • Jen puts $1750 in a savings account for two years that offers a 4% interest rate. what is the ending balance in her account afte
    9·2 answers
  • Purple paint is made by mixing red paint and blue paint in the ratio 2 : 3. If 15 litres of blue paint is used, how much red pai
    11·2 answers
  • The radius of a circle is 3m Find it’s area to the nearest tenth
    15·1 answer
  • Can i get some help please
    9·2 answers
  • What is the measure of arc AC?
    8·1 answer
  • What is the answer to: -8.6x10x(-19.09)=
    8·1 answer
  • I will give brainliest for the correct answer! Please help it’s due today!
    12·1 answer
  • Y=5x-9 <br> y=5x+9 <br> solve with substitution
    11·1 answer
Add answer
Login
Not registered? Fast signup
Signup
Login Signup
Ask question!