Answer:
$5.19
Step-by-step explanation:
All you do is divide $25.95 BY 5
Given:
The equation is

To find:
The missing value.
Solution:
Let the missing value be k.


Using the formulae
and
.


Cancel out the common factors from both sides.

Multiply both sides by (x+1).

Therefore, the missing value is 5(x+1).
This isn't a math question, but I'll answer it anyways :)
Monotheistic means the religion only believes in one God. Examples of these are:
Christianity, Judaism, and Islam
So the answer would be D.
Hope that helped :) <span />
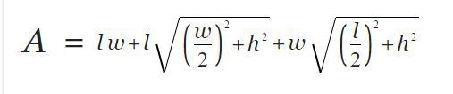
The answer is b. 593.8 ft^2
Solve for the height then plug everything in (attachment shows the formula)
here it is it is not my answer but i hope it helps!