1answer.
Ask question
Login Signup
Ask question
All categories
  • English
  • Mathematics
  • Social Studies
  • Business
  • History
  • Health
  • Geography
  • Biology
  • Physics
  • Chemistry
  • Computers and Technology
  • Arts
  • World Languages
  • Spanish
  • French
  • German
  • Advanced Placement (AP)
  • SAT
  • Medicine
  • Law
  • Engineering
marin [14]
3 years ago
6

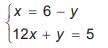
Which expression can you substitute for xin12x+y=5 to solve the system below?

Mathematics
1 answer:
Lemur [1.5K]3 years ago
7 0

Well, you can see in the system that they give you the expression x = 6 - y.  So it's literally telling you that, well, x equals (6 - y), and therefore since they're equivalent expressions, you can substitute 6 - y for x to solve the system.

You might be interested in
Which is the most difficult train to catch
Alona [7]

Answer:

Thomas ................

6 0
3 years ago
What is the answer for 7-2(8/2)+9
photoshop1234 [79]
7-2( \frac{8}{2} )+9 =

Remove parentheses:

7-2* \frac{8}{2} +9 =

7 - 2 * 4 + 9 =

7 - 8 + 9 =

= -1 + 9

= 8

hope this helps!



6 0
3 years ago
Please solve regression equation
Verdich [7]

Step-by-step explanation:

can't c please type the question..

8 0
3 years ago
Which equation has a graph that is parallel to the graph of 4−2=1?
enyata [817]

Answer:

bro i just got banned on 23 other accounts....

STUPIDDDDD

Step-by-step explanation:

4 0
4 years ago
5x + 5 – 3x = 14 – 2x + 7 + 8x
kap26 [50]
5x-3x+2x-8x=-5+14+7
-4x=16
x=-4
8 0
3 years ago
Read 2 more answers
Other questions:
  • Tameka has 4 coins in her purse. The value of coins is 30% of a dollar. Which could represent the coins in Temeka's purse?
    9·1 answer
  • which expression is equivalent to -28x^2+35x ? F. 7x(4x+5) G.-7x(4x-5) H.7x(4x-5) J.-7x(4x+5) please explain w the steps
    12·2 answers
  • Mini muffins cost $3 per dozen
    11·1 answer
  • Pow Research center is a nonpartisan polling organization that provides information about issues, attitudes, and trends shaping
    8·1 answer
  • What is the slope of the line that is perpendicular to the line represented by the
    13·1 answer
  • Give the equation of the circle centered at the origin and<br> passing through the point (4,0)
    13·1 answer
  • Help plz I need help i have no idea what to do
    12·2 answers
  • Find the complete factored form of the
    15·1 answer
  • I'LL GIVE BRAINLIEST:
    13·2 answers
  • 6x+a= 5(x+f) make x subject
    9·1 answer
Add answer
Login
Not registered? Fast signup
Signup
Login Signup
Ask question!