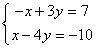
Greetings.
Solving by substitution, we can substitute either y-term or x-term. For a fast and better way, I recommend you to substituting x-term.

Because for x-term, we don't have to move the coefficient to another side as the coefficient for x-terms are both - 1 and 1.
What we need to do is that we move everything to another side excluding x-term.
I will be moving the second equation to another side.

Now our x-term for the seco d equation is - 10+4y.
Substitute x =-10+4y in the first equation.

We should get like this. Then we distribute the negative sign in the brackets.

Remember that negative multiplying negative equal positive.

Subtract as we get -y then we move 10 to another side, leaving y as the subject.

Also negative dividing negative equal positive as well. We have the y-value but because it is the two equations. We need to find the x-value as well.
Therefore, substituting y-value in any given equations. It is better to substitute y-value in the equation with less coefficient value.
I will be substituting y-value in the first equation.

Substitute y = 3 in the equation.

Answer in coordinate point/ordered pair as we get (2,3)