PLEASE ANSWER QUICKLY!!! A bag contains 5 green marbles and 3 red marbles. Two marbles are drawn at random, as follows: one marb
le is drawn and not replaced. Then a second marble is drawn.
What is the probability that the first marble is red and the second one is green?
1 answer:
Answer:
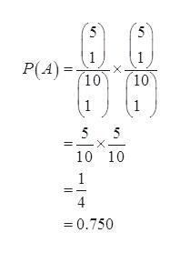
It is given that a bag contains 3 red marbles, 5 blue marbles and 2 green marbles.
The total number of marbles in the bag is 10.
Two blue marbles are drawn one after another from the bag.
Let A be the event that getting two marbles are blue marbles under condition is with replacement.
The probability of...
You might be interested in
A prime number can only be divided by one oritslef and a composite number can bedivided by other njmbers.
Answer:
x <19.5
Step-by-step explanation:
X-3.3< 16.2
Add 3.3 to each side
X-3.3+3.3< 16.2+3.3
x <19.5
The answer is C: slope=-2 and y intercept =8
3.14,0.33,25%,15.5%
you convert them all to decimal and arrange them in order.
Answer:
16-8y
=8 (2-y)
(y-2)^2
=

Hope it helps you make me brainliest plz