1answer.
Ask question
Login Signup
Ask question
All categories
  • English
  • Mathematics
  • Social Studies
  • Business
  • History
  • Health
  • Geography
  • Biology
  • Physics
  • Chemistry
  • Computers and Technology
  • Arts
  • World Languages
  • Spanish
  • French
  • German
  • Advanced Placement (AP)
  • SAT
  • Medicine
  • Law
  • Engineering
AlladinOne [14]
3 years ago
13

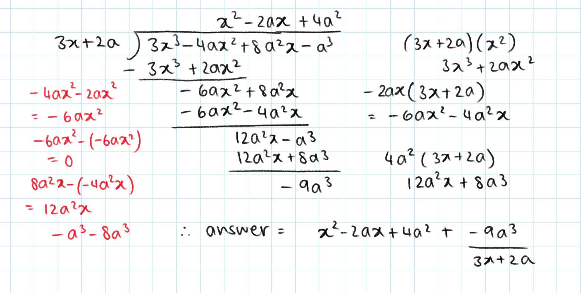
Guys solve everything or only 2nd one​

Mathematics
1 answer:
SVEN [57.7K]3 years ago
8 0

Answer:

Step-by-step explanation:

You might be interested in
Need help answer fast
Allushta [10]

Answer:

Option 1 *=#+5

Step-by-step explanation:

You just add 5 to the number of boys to get the number of girls

5 0
3 years ago
The diagonal of a square is x units. What is the area of the square in terms of x?
bixtya [17]

Answer:

A = (x^2)/2

Step-by-step explanation:

Represent the length of one side of the square by s.  Then, according to the Pythagorean Theorem,

x^2 = s^2 + s^2, or x^2 = 2s^2, or (solving for s^2), s^2 = (x^2)/2

This last result is the area of the square in terms of x:  A = (x^2)/2

7 0
4 years ago
Suppose you deposit ​$2,500 in a savings account that pays interest at an annual rate of 5​%. If no money is added or withdrawn
lukranit [14]

Answer:

the answer would be c.

Step-by-step explanation:


8 0
3 years ago
If 40 is decreased by 80%, what is the new amount?
ExtremeBDS [4]

Answer:

The new amount is 8.

Step-by-step explanation:

80% of 40 is 32, so subtract 32 from 40 to get 8.

5 0
3 years ago
Read 2 more answers
Many are in the club?
skad [1K]

Answer:

i believe it is 18 miles because 6×3=18

3 0
3 years ago
Other questions:
  • FIRST CORRECT ANSWER GETS BRAINLIEST, 43 ISNT THE ANSWER THANKS
    13·2 answers
  • The price P of a large cheese pizza is 7.95Plus .75 for each topping t on the pizza
    7·1 answer
  • Brenda knows that there are 16 ounces and two cups what is the ratio ounces to cups
    14·2 answers
  • Write the equation in standard form.<br><br> 3x−9=7y
    8·1 answer
  • Find The Slope Of The Line
    10·2 answers
  • amy earns $15 per week for doing chores around the house. write and solve an equation that determines how many weeks she needs t
    13·2 answers
  • For the complex number z= 12+i what is z
    15·1 answer
  • The following temperatures were recorded in Pasadena for a week in April: 87, 85, 80, 78, 83, 86, 90. Determine the interquartil
    12·1 answer
  • Write the equation of the line fully simplified slope-intercept form.
    7·1 answer
  • Help! this is due in 2 hoursssss
    15·2 answers
Add answer
Login
Not registered? Fast signup
Signup
Login Signup
Ask question!