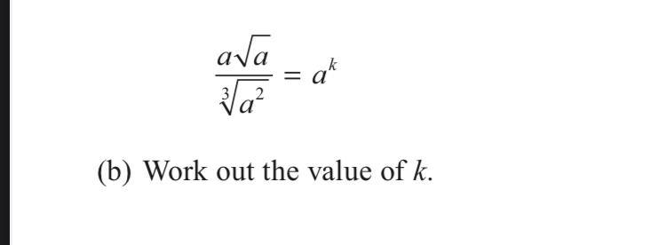
Answer:
k = 5/6
Step-by-step explanation:
The √ can be rewrite as a power, and this power is 1/2
So √a = a^1/2, and it is multiplying a, so we add the powers: a¹•a^1/2 = a^(1+1/2) = a^3/2
And the ³√ can be rewrite as the power 1/3, but the a inside the ³√ is to the power of 2, so we can rewrite it like this: (a²)^1/3
And to evaluate this we have to multiply the powers, so we will have: a^2/3
Now we have this fraction:

A fraction with powers in the same base can be rewrite like a subtraction of the powers, so let's do that:
