1answer.
Ask question
Login Signup
Ask question
All categories
  • English
  • Mathematics
  • Social Studies
  • Business
  • History
  • Health
  • Geography
  • Biology
  • Physics
  • Chemistry
  • Computers and Technology
  • Arts
  • World Languages
  • Spanish
  • French
  • German
  • Advanced Placement (AP)
  • SAT
  • Medicine
  • Law
  • Engineering
Scrat [10]
2 years ago
6

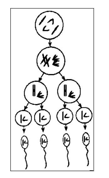
Your friend shows you the image below and claims that it shows the process of mitosis. why is he or she wrong? (3 reasons)

Biology
1 answer:
Elan Coil [88]2 years ago
7 0

Answer:

1. The cell splits itself twice

2. 4 resulting sperm cells are made

3. Only half of the DNA is kept per cell

Explanation:

Mitosis only has one diving phase that occurs only on body cells, which makes it have 2 daughter cells. This, on the other hand, has 4 daughter cells. If you notice, after the third set of bubbles, the genome(DNA) is split among 4 cells.

You might be interested in
How are populations of blue winged warblers most likely to be affected by the earlier arrival of spring
Helga [31]
<h2>Answer:</h2>

Blue winged warblers are the popular species having distinct Buzz Buzz sounds. They are most likely to live in bushy fields and known as worm eater. Their favorite food is insects and spiders.

As the springs arrives, it will affect the blue winged warbles in a very positive way. They will be more likely to reproduce in spring. They will also find more food and shelter in spring.

4 0
3 years ago
Read 2 more answers
You have identified two mutants with same phenotype.
algol13

Answer:

No, there are multiple ways in which different mutations in the same gene can cause the same phenotype

Explanation:

Several different mechanisms of mutation can lead to the same phenotype. For example, lets say our phenotype is that flies have white eyes, and we know that this occurs in one particular gene that normally makes the eye colour red. (the red gene)

These mutations likely rendered the red gene ineffective (as the eyes are not red). However, this could happen in a variety of ways.

  • There could be a single base deletion in the first exon of the mRNA, changing the reading frame of the protein and messing up the entire sequence (a frame shift mutations)
  • The entire gene could be deleted
  • A single base could be substituted in an important site of the gene, for example, one which translates into a catalytic residue or binding site in the protein
  • There could be an inversion at the promoter region of the gene, such that a transcription factor can no longer bind to transcribe the gene.

There are countless other ways in which a mutation could have been caused. Therefore, just because we know the same gene is affected does not mean that we can assume the mutations are identical.

7 0
3 years ago
A student does an experiment for a science fair to study whether temperature affects the timing of a cricket’s chirps. The stude
Hitman42 [59]
If the experiment was done correctly, it should be the number of crickets exposed to each different temperature.
3 0
3 years ago
Read 2 more answers
Which of the following is a true statement about remote sensing?
d1i1m1o1n [39]
<span> it is a faster means of reconnaissance then ground surveying </span>
6 0
4 years ago
Read 2 more answers
When fungi and bacteria decompose organic matter, they return ____ to the environment.
makkiz [27]

Answer:

<u>Carbon</u> and <u>nitrogen</u>.

<em>probably</em>

Hope that helped :)

6 0
3 years ago
Read 2 more answers
Other questions:
  • Describe the role of enzymes in transcription and translation
    12·1 answer
  • 5. A change in an organism's environment that causes the organism to<br> react is called a(n)
    7·1 answer
  • What are the functions of water in the human body
    11·1 answer
  • •¿POR QUÉ CREES QUE ES IMPORTANTE LA BIODIVERSIDAD?
    6·1 answer
  • Why would a study involving continuous handrail support, oxygen uptake, and heart rate in women during submaximal step treadmill
    12·1 answer
  • Distinguish between major classes of biomolecules, proteins, lipids, carbohydrates, nucleic acids?
    11·2 answers
  • Scientists have changed the DNA of a type of cabbage so that it contains a tiny amount of poison from a scorpion’s tail. The poi
    9·2 answers
  • 77 POINTS, PLEASE HELP ASAP
    9·1 answer
  • when a dividing cell undergoes cytokinesis, two cells are produced. What is a educated guess about the meaning of cytokinesis.
    8·1 answer
  • I WILL GIVE YOU THE BRAINLIEST IF YOU ANSWER THIS QUESTION RIGHT!!!!
    11·1 answer
Add answer
Login
Not registered? Fast signup
Signup
Login Signup
Ask question!