1answer.
Ask question
Login Signup
Ask question
All categories
  • English
  • Mathematics
  • Social Studies
  • Business
  • History
  • Health
  • Geography
  • Biology
  • Physics
  • Chemistry
  • Computers and Technology
  • Arts
  • World Languages
  • Spanish
  • French
  • German
  • Advanced Placement (AP)
  • SAT
  • Medicine
  • Law
  • Engineering
sukhopar [10]
2 years ago
9

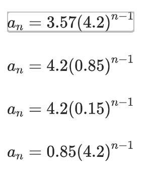
Jia is skipping a rock across a pond. The sequence {4.2, 3.57, 3.0345, 2.5793, …} describes the height of the rock on each succe

ssive skip. Which explicit formula describes this geometric sequence?
(answer options in image below, please help)

Mathematics
1 answer:
denpristay [2]2 years ago
5 0

The explicit formula is an= 4.2* (0.85)^{n-1}.

The correct option is (b)

<h3>What is explicit formula?</h3>

The explicit formula for a geometric sequence is of the form an = a1r-1, where r is the common ratio.

Given sequence:  {4.2, 3.57, 3.0345, 2.5793, …}

General formula a_n= ar^{n-1}

an=4.2* (17/20)^{n-1}

an= 4.2* (0.85)^{n-1}

Hence, an= 4.2* (0.85)^{n-1}

Learn more about this concept here:

brainly.com/question/18069156

#SPJ1

You might be interested in
What is the value of y? Enter your answer in the box.
Lady_Fox [76]
The answer is 64. Hope I helped!
3 0
3 years ago
Read 2 more answers
Six times the difference of 2a and B increased by 4B
prisoha [69]
6(2a-b)+46 Then when you simplify it : 12a-6b+46
5 0
3 years ago
Read 2 more answers
Offering a lot of points for this
Andrews [41]

Answer:

6x - 1

Step-by-step explanation:

Add 3x and 3x.

6x − 1

ídk hope this helps... ( ̄▽ ̄)ノ

6 0
3 years ago
Read 2 more answers
What is the value of' x'?
belka [17]

Answer:

7..the way you worded the options was confusing

3 0
3 years ago
Help please image is uploaded view please.
harina [27]

Answer:

23

Step-by-step explanation:

we are given that angle NRQ is 78 degrees

we can see from the figure that the sum of the given angles is angle NRQ

so

(8x + 7) + (4x - 1) = 78

12x + 6 = 78

12x = 72

x = 6

Now, we have to find angle PRQ

replacing x with 6 in the equation of angle PRQ

PRQ = 4(6) - 1

PRQ = 23

6 0
3 years ago
Other questions:
  • There 22,869 children,49,563 men and 2,872 more women than men st the fair.how many people were at the fair?
    8·2 answers
  • A flower bed surrounds the base of a tree. It is enclosed by stones to form a circle that measure 25.12 feet around. What is the
    15·1 answer
  • Pls help i really am confused :/
    7·1 answer
  • What is the square root of -1?<br> Т -<br> ОООО<br> Т -
    6·2 answers
  • Why can a problem with extra information be difficult to solve?
    9·2 answers
  • The circumference of a circle is 8.97cm.
    7·1 answer
  • All acute triangles are similar. <br> a. True<br> b. False
    15·2 answers
  • HELP! THIS IS DUE TODAY, AND I WILL MARK BRAINLEST!!!!
    8·1 answer
  • You earn $35 for washing 7 cars. How much do you earn for washing 4 cars?
    13·1 answer
  • B. What is the probability that Teresa will pick a tile with a vowel (A, E, I, O, U) on it?
    6·1 answer
Add answer
Login
Not registered? Fast signup
Signup
Login Signup
Ask question!