Answer:
Option 4
Step-by-step explanation:
Given function is,

Steps to get the inverse of the given function,
Step 1,
Convert the function into equation,

Step 2,
Interchange the variables 'x' and 'y',

Step 3,
Solve the equation for the value of y,






Step 4,
Convert the equation into inverse function,

For x-intercepts,
Substitute y = 0,





Therefore, x-intercept of the inverse function is
.
Option 4 will be the answer.
The answer of the question is C
The answer is (x=31)
Hope It helps!
Answer:
the second one
Step-by-step explanation:
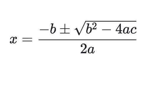
Just put the equation in the quadratic formula but first get it in the ax^2+bx+c=0 form for that take 1 to the other side and subtract it

the quadratic formula is shown in the picture along with the rest of the working
the answer is the second option :)
hope this helps, best of luck graduating :)