1answer.
Ask question
Login Signup
Ask question
All categories
  • English
  • Mathematics
  • Social Studies
  • Business
  • History
  • Health
  • Geography
  • Biology
  • Physics
  • Chemistry
  • Computers and Technology
  • Arts
  • World Languages
  • Spanish
  • French
  • German
  • Advanced Placement (AP)
  • SAT
  • Medicine
  • Law
  • Engineering
miv72 [106K]
2 years ago
13

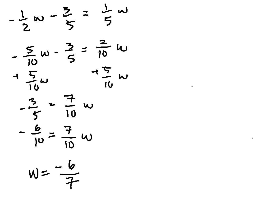
-1/2 w -3/5= 1/5 w...

Mathematics
2 answers:
Assoli18 [71]2 years ago
8 0

Answer:

w = -6/7

Step-by-step explanation:

−

10

7

(

−

7

a

10

)

=

−

10

7

⋅

3

5

KatRina [158]2 years ago
6 0

Answer:

w= (-6/7)

Step-by-step explanation:

You might be interested in
Approximately 32,400 citizens of the country died in 2015. Express the toll in deaths per day
Zigmanuir [339]

There is 90 deaths per day.

First it tells us 32,400 people died in 2015, which also mean that many people died that year.

We have to find the number of people died each month first.

32,400÷12 because 12 is the total number of months in a year.

2700 people died in a month, not we need to find how many people died each day so we divided it by 30 and we get

90 deaths per day.

8 0
3 years ago
What is the equation of the line?
Olin [163]

Answer:

y = -7

Step-by-step explanation:

This is a horizontal line

The y value does not change

It is of the form y=

y = -7

3 0
3 years ago
Read 2 more answers
there are currently 2 teachers and 22 students signed up for a field trip. For every additional 10 students, the school will ass
tresset_1 [31]

Answer:

yes because both teachers and students amount rice at the same time they are proportional

Step-by-step explanation:

4 0
3 years ago
What is the value of x?
aleksley [76]

Answer:

x = 98

Step-by-step explanation:

The exterior angle of a triangle is equal to the sum of the opposite interior angles

x = 53+45

x = 98

8 0
3 years ago
Read 2 more answers
How can you tell it if linear or non-linear​
Snowcat [4.5K]
In linear equations, the graph will always be a straight line. In non linear equations, the graph may look like a parabola (curvy instead of straight).
6 0
4 years ago
Other questions:
  • A medical company tested a new drug on 100 people for possible side
    11·2 answers
  • Diego has 90 songs on his playlist. How may songs are there for each genre
    6·2 answers
  • Which line has an equation of y = negative 5 x + 4 in slope-intercept form? a line passing through the points (1, 9) and (3, 19)
    8·2 answers
  • The inverse of a function is a function.
    12·2 answers
  • What is:<br><br>k/3 + 17 = 12?​
    12·2 answers
  • Use one of the triangles to approximate MO in the triangle below
    6·2 answers
  • A cookie recipe calls for 1/4 cup of brown sugar for one batch of 24 cookies. How many cups of brown sugar would be needed to ba
    14·2 answers
  • A company makes flower pots. The flower pots have an expense equations of E=2.75q+$24,582. What is the fixed cost in the expense
    15·1 answer
  • I need help with truth tables
    7·1 answer
  • (A) Find the slope of the line that passes through the given points.(B) Find the standard form of the equation of the line.(C) F
    9·1 answer
Add answer
Login
Not registered? Fast signup
Signup
Login Signup
Ask question!