1answer.
Ask question
Login Signup
Ask question
All categories
  • English
  • Mathematics
  • Social Studies
  • Business
  • History
  • Health
  • Geography
  • Biology
  • Physics
  • Chemistry
  • Computers and Technology
  • Arts
  • World Languages
  • Spanish
  • French
  • German
  • Advanced Placement (AP)
  • SAT
  • Medicine
  • Law
  • Engineering
lozanna [386]
2 years ago
4

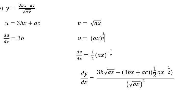
Can helper help me? I have mistake

Mathematics
2 answers:
Luda [366]2 years ago
5 0

Your work seems fine to me. All that's left is simplification. Any of the following forms are equivalent.

\dfrac{dy}{dx} = \dfrac{3b\sqrt{ax} - (3bx+ac) \left(\frac12 (ax)^{-1/2}\right)}{\left(\sqrt{ax}\right)^2}

\dfrac{dy}{dx} = \dfrac{3b\sqrt{ax} - \frac{3bx+ac}{2\sqrt{ax}}}{ax}

\dfrac{dy}{dx} = \dfrac{6abx - (3bx+ac)}{2(ax)^{3/2}}

\dfrac{dy}{dx} = \dfrac{(6ab-3b)x - ac}{2(ax)^{3/2}}

\dfrac{dy}{dx} = \dfrac{(6ab-3b)x}{2a^{3/2}x^{3/2}} - \dfrac{ac}{2a^{3/2}x^{3/2}}

\dfrac{dy}{dx} = \dfrac{6ab-3b}{2a^{3/2}x^{1/2}} - \dfrac c{2a^{1/2}x^{3/2}}

Artemon [7]2 years ago
3 0

By derivative rules, the first derivative of the function f(x) = (3 · b · x + a · c) / [√(a · x)] is equal to f'(x) = [(3 · b) · √(a · x) - (3 · b · x + a · c) · 0.5 ·√(a / x)] / (a · x).

<h3>How to use derivative rules for a division between two functions</h3>

Let f(x) a function of the form f(x) = g(x) / h(x), whose first derivative is defined by the following expression:

f'(x) = [g'(x) · h(x) - g(x) · h'(x)] / [h(x)]²      (1)

If we know that g(x) = 3 · b · x + a · c and h(x) = √(a · x), then the first derivative of the function is:

f(x) = (3 · b · x + a · c) / [√(a · x)]

g'(x) = 3 · b

h'(x) = 0.5 · a /√(a · x)

h'(x) = 0.5 ·√(a / x)

f'(x) = [(3 · b) · √(a · x) - (3 · b · x + a · c) · 0.5 ·√(a / x)] / [√(a · x)]²

f'(x) = [(3 · b) · √(a · x) - (3 · b · x + a · c) · 0.5 ·√(a / x)] / (a · x)

The first derivative of the function f(x) = (3 · b · x + a · c) / [√(a · x)] is equal to f'(x) = [(3 · b) · √(a · x) - (3 · b · x + a · c) · 0.5 ·√(a / x)] / (a · x).

To learn more on derivatives: brainly.com/question/25324584

#SPJ1

You might be interested in
Print out this construction assignment. Do the assignment and be ready to give it to your teacher for grading if it is requested
otez555 [7]

Answer:

I got it it is right here answer 5+-8

Step-by-step explanation:

6 0
2 years ago
If 2x + 8 = 0, what justifies 2(x + 4) = 0?
musickatia [10]

Answer:

2(x+4)=0

2x+8=0

8-0=2x

8/2=x

4=x

x=4

7 0
3 years ago
(1, 1) and (5, 7) can somebody help
Murljashka [212]

Answer:

1×5 + 1×7 +1×5 +1×7

5+7+5+7 : 24

7 0
3 years ago
Find the unknown area or radius of the circle. Use 3.14 for pi.<br> d = 11 mi, A = ?
Hatshy [7]

Answer:

94.985

Step-by-step explanation:

Diameter is 5.5, area of circle is pi r^2

pi times 5.5^2 is 94.985

4 0
2 years ago
Can u pls help me with this question ​
zvonat [6]

Answer:

AVA

Step-by-step explanation:

6 0
4 years ago
Read 2 more answers
Other questions:
  • WILL MARK BRAINLIEST!!!!
    15·1 answer
  • Work out the area of the shaded shape.<br>​
    8·2 answers
  • Multiply the number by 4. Add 10 to the product. Divide this sum by 2. Subtract 5 from the quotient.
    5·1 answer
  • Is the relation a function? Why or why not
    6·1 answer
  • Jane, Andre, and Maria pick apples. Andre picks three times as many pounds as Maria. Jane picks two times as many pounds as Andr
    13·1 answer
  • Find the solution to this differential equation:<br> dB/dt+3B=60 B(1)=80 b=?
    11·1 answer
  • At 60 miles per hour, a car travels 88 feet per second. During a stop from 60 miles per hour to zero, the average speed of the c
    14·1 answer
  • PLZ HELP HELP! im not sure about this
    5·1 answer
  • In March it rained 4 inches less than April than in march. How much did it rain in April?
    8·1 answer
  • Hi please help :)))))))
    13·2 answers
Add answer
Login
Not registered? Fast signup
Signup
Login Signup
Ask question!