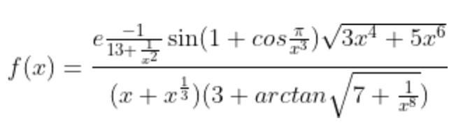
Step-by-step explanation:
You want to know how the squeeze theorem applies to help you find the limit of f(x) is zero as x approaches zero.
<h3>Summary</h3>
The short of it is that you have ...
f(x) = [messy finite function] × [function that cleanly approaches 0 at x=0]
The zero product rule tells you that the product of any finite value and 0 is zero, so the limit of this product is 0 at x=0.
The graph in the attachment shows the "function that cleanly approaches 0" in red. When multiplied by the "messy finite function", the result is the blue curve. You can see that the result is a function that has a limit of 0 at x=0.
<h3>How to get there</h3>
Here, we'll decompose f(x) into two parts:
- messy finite function (g(x))
- function that cleanly approaches zero at x=0 (h(x))
<u>Messy finite function</u>
The numerator sine function factor of f(x) gets increasingly messy as x approaches zero, due to the cosine term it contains. We can define ...

Because this is a sine function, its value is always in the range |g(x)| ≤ 1.
<u>Function cleanly approaching zero</u>
The remaining factors of f(x) need to be rearranged a bit to make a function that obviously approaches zero at x=0. We do that by factoring ∛x from the denominator and rearranging the leading fraction.

Recognizing that the arctangent term will approach π/2 as x→0, this can be (more or less) directly evaluated at x=0 to give ...

The sign of h(x) will be opposite the sign of x. The graph of h(x) is shown in red in the attachment.
<h3>The squeeze</h3>
As h(x) approaches zero, the product ...
f(x) = g(x)·h(x)
approaches zero. This is the essence of the squeeze.
Starting from our description of g(x) above, we can multiply both sides of the inequality by the positive value |h(x)| to get ...
|g(x)| ≤ 1 . . . . . . . . . . the range of the sine function
|h(x)|·|g(x)| ≤ |h(x)|·1 . . . . . . multiply by |h(x)|
Simplifying, this is ...
|f(x)| ≤ |h(x)| . . . . true for all x
So, the limit is ...

The attachment illustrates this nicely, showing that the oscillating f(x) has its amplitude limited by h(x), which approaches zero.
__
<em>Additional comments</em>
The limit of x^-8 is positive infinity as x approaches zero. This means the arctangent function argument is positive infinity as x approaches zero, so the function value is π/2. The sign of x is irrelevant.
We cannot tell if the fraction following "e" in this function is supposed to be an exponent. The two typeset versions of f(x) seem to show "e" as a multiplier, not the base of an exponential term. Even if an exponential term is what is intended, that term would approach 1 at x=0, so the conclusion here remains unchanged.