Answer:
12 cm
Step-by-step explanation:
1. Consider right triangle MNK. In this triangle angle N is right and m∠M=60°, then m∠K=30°. Thus, this triangle is special 30°-60°-90° right triangle with legs MN and NK and hypotenuse MK=16 cm. The leg MN is opposite to the angle with measure of 30°, then this leg is half of the hypotenuse, MN=8 cm.
2. Consider right triangle MNH, where NH is the height of trapezoid drawn from the point N. In this triangle m∠M=60°, angle H is right, then m∠N=30°. Similarly, the leg MH is half of the hypotenuse MN, MH=4 cm.
3. Trapezoid MNOK is isosceles, because MN=OK=8 cm. This means that NO=MK-2MH=16-8=8 cm.
4. The midsegment of the trapezoid is

Answer:
11
Step-by-step explanation:
30-2(7+2)-1
PEMDAS says parentheses first
30-2(9)-1
Then multiply
30 -18 -1
Then subtract
12-1
11
The answer
<span>2x - y + z = -3 (1)
2x + 2y + 3z = 2 (2)
3x - 3y - z = -4 (3)
</span> (1) - (2) 3y +2z =5
3 .(1) - 2.(2) 3y+5z = -1<span>
let 's solve
</span>3y +2z =5
3y+5z = -1<span>
z= - 2, and 3y =5+4=9, y=3, so </span>2x - 3 -2 = -3 implies x= 1
<span>
finally x=1, y=3 and z= -2
proof
</span>2x - y + z = -3?? 2.1 - 3 -2 = -3 (true)<span>
</span>
The equation of a cricle passing through (h,h) and with radius r is

so
cente ris (-6,7) and passing through (4,-2)


subsitute (4,-2) to find r^2




so it is

A is the answer
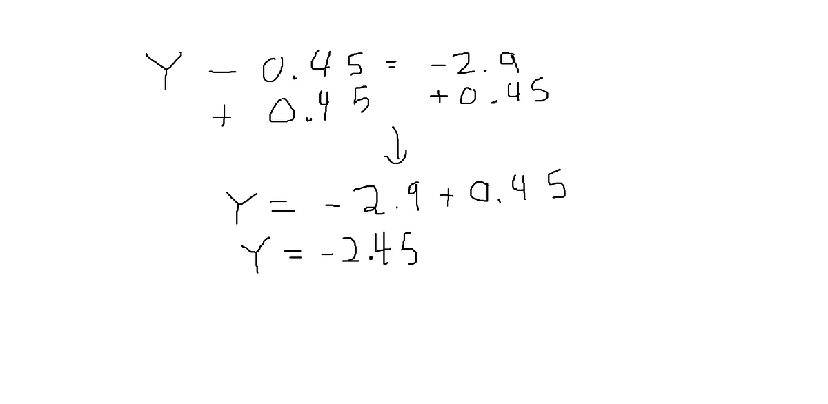
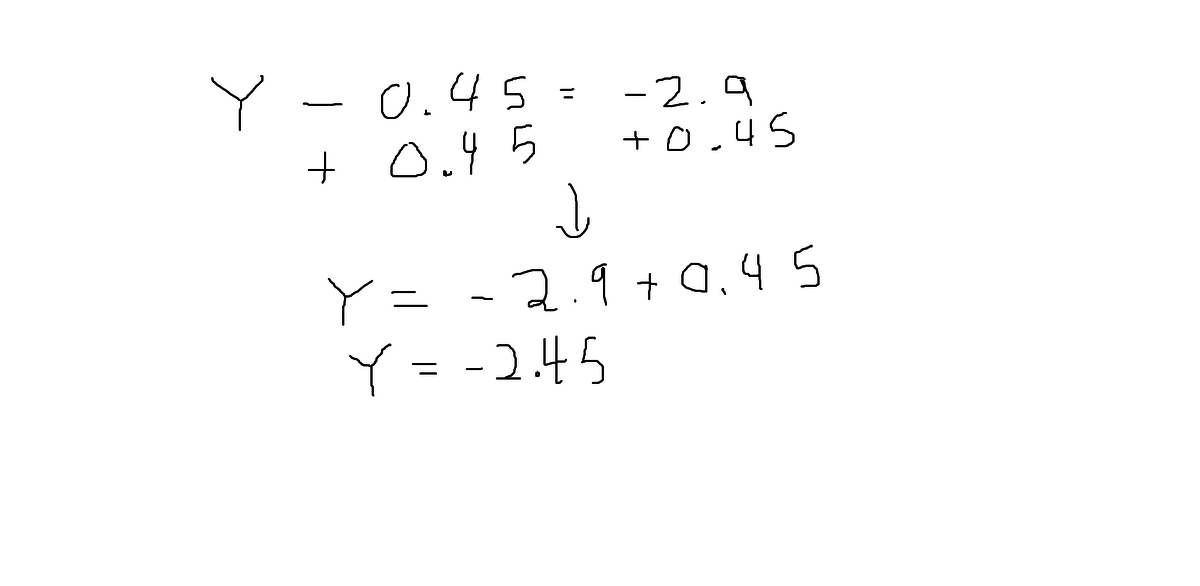
Answer:
it will take about 1/3 of the time (10 minutes)
Step-by-step explanation: