1answer.
Ask question
Login Signup
Ask question
All categories
  • English
  • Mathematics
  • Social Studies
  • Business
  • History
  • Health
  • Geography
  • Biology
  • Physics
  • Chemistry
  • Computers and Technology
  • Arts
  • World Languages
  • Spanish
  • French
  • German
  • Advanced Placement (AP)
  • SAT
  • Medicine
  • Law
  • Engineering
KonstantinChe [14]
4 years ago
10

Draw the directed graphs representing each of the following relations:

Mathematics
1 answer:
GaryK [48]4 years ago
5 0

Answer and Explanation:

Given : Different relations.

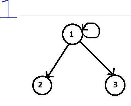
a) {(1,1), (1,2), (1,3)}

b) {(1,2), (2,1), (2,2), (3,3)}

c) {(1,1), (1,2), (1,3), (2,2), (2,3), (3,3)}

d) {(1,3), (3,1)}

To find : Draw the directed graphs representing each relations?

Solution :

A directed graph is defined as a set of vertices that are connected together  where all the edges are directed from one vertex to another.

Now, We represent each relation through directed graph.

a) {(1,1), (1,2), (1,3)}

Here, 1 is connected to itself, 1 is connected to 2 and 1 is connected to 3.

Refer the attached figure (1).

b) {(1,2), (2,1), (2,2), (3,3)}

Here, 1 is connected to 2 and 2 is connected to 1,2 is connected to itself and 3 is connected to itself.

Refer the attached figure (2).

c) {(1,1), (1,2), (1,3), (2,2), (2,3), (3,3)}

Here, 1 is connected to itself, 1 is connected to 2,1 is connected to 3,2 is connected to itself , 2 is connected to 3 and 3 is connected to itself.

Refer the attached figure (3).

d) {(1,3), (3,1)}

Here, 1 is connected to 3 and 3 is connected to 1.

Refer the attached figure (4).

You might be interested in
Which equation is quadratic in form?
densk [106]

A quadratic equation is written in the form  ax^{2} + bx + c = 0

Looking at the second, third, and fourth options, we see that the highest powers are greater than two, which automatically disqualifies them from being quadratics (since the highest power in a quadratic is 2).

This makes the first option the correct choice since the expansion of the equation gives 2x^{2} + 28x + 61

6 0
2 years ago
Read 2 more answers
The question is in the picture. will give brainilist.​
Nuetrik [128]

Answer:

y=2/5x-15

Step-by-step explanation:

y-y=m(x-x¹)

y-(-11)=2/5(x-10)

y+11=2/5x-4

-11 -11

y=2/5x-15

3 0
3 years ago
0.1067 as a fraction
aev [14]

Answer:

1067/10000

Step-by-step explanation:

simple

4 0
3 years ago
Brad and sally made a total of 31 cakes for the school bake sale. Sally made 7 fewer cakes than brad. How many cakes did brad ma
Anvisha [2.4K]

Answer:

brad made 19 cakes, sally made 12

Step-by-step explanation:

5 0
3 years ago
What is the value of X? inscribed angles <br><br> a. 30<br> b. 15<br> c. 35<br> d. 25
OlgaM077 [116]

Answer:

a. 30

Step-by-step explanation:

Rotate the image and observe, you will see the difference between 30° and 35°

Hope this helps

3 0
2 years ago
Other questions:
  • What add's up to 5 and multiplies to -36
    10·1 answer
  • If I have a 94 in my class and my final exam is worth 10%, what would be my final score if I make a 50? (I'm setting the bar low
    15·2 answers
  • Leticia invests $200 at 5% interest. If y represents the amount of money after x time periods, which describes the graph of the
    5·1 answer
  • Luis’s cedar chest measures 4 feet long, 2 feet wide, and 2 ¼ feet high. What is the volume of the chest?
    11·1 answer
  • Jason has 330 pennies Richie has 268 pennies which two students have more than 700 pennies combind
    9·1 answer
  • The side length of a square is equal to ? .
    14·2 answers
  • Janet Woo decided to retire to Florida in 6 years. What amount should Janet invest today so she can withdraw $51,500 at the end
    11·1 answer
  • You have been working hard and saving money to buy your first used car - woo hoo! But you still need more money. (It's an expens
    7·1 answer
  • Could you pls find the surface area​
    8·2 answers
  • A food production company is choosing between two suppliers of grain. Supplier A sells grain for $5.25 per bushel plus a
    7·1 answer
Add answer
Login
Not registered? Fast signup
Signup
Login Signup
Ask question!