Answer:
11 dimes and 4 nickles
Step-by-step explanation:
Answer:
C
Step-by-step explanation:
to factor x² - x - 2
consider the factors of the constant term which sum to give the coefficient of the x-term.
the factors are - 2 and + 1 since - 2 × 1 = - 2 and - 2 + 1 = - 1
x² - x - 2 = (x - 2)(x + 1), hence (x + 1) is a factor
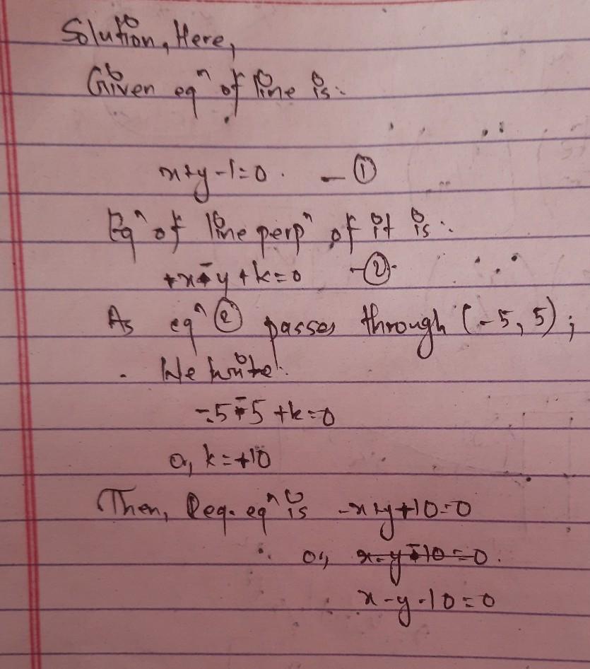
Answer:


Step-by-step explanation:


to use the elimination you have to make one of the numbers same
so

and you would have to change the sign so that both of the 3x could cancel out.
New system of equation




so we know the y value so now you could find the x value take one equation



you could try it with both of the equations






You would multiply the power by the powers of both exponents
2 × 3 = 6 so a^6
3 × 4 = 12 so b^12
Answer is
a^6b^12