1answer.
Ask question
Login Signup
Ask question
All categories
  • English
  • Mathematics
  • Social Studies
  • Business
  • History
  • Health
  • Geography
  • Biology
  • Physics
  • Chemistry
  • Computers and Technology
  • Arts
  • World Languages
  • Spanish
  • French
  • German
  • Advanced Placement (AP)
  • SAT
  • Medicine
  • Law
  • Engineering
Aleks04 [339]
3 years ago
8

Chris is making a poster for Bike Safety Week. The diameter of circle A is 14 in.

Mathematics
2 answers:
IceJOKER [234]3 years ago
5 0
To calculate the area of a circle you need to square the radius and multiply by pi (3.14)


A= \pi  7^{2} 

Your answer will be 156.86 inches

this video actually uses the same equation and is very helpful http://virtualnerd.com/geometry/length-area/circles-sectors-area/circle-area-from-diameter 


Sonja [21]3 years ago
5 0

Answer:

30.772 in2.

Step-by-step explanation:

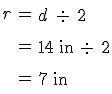
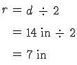
First, find the radius of circle A.

* in picture*

Next, use the formula and the radius of circle A to find the area of circle A.

*in picture*

Last, multiply the area of circle A by  to find the area of circle B.

*in picture*

Therefore, the area of circle B is 30.772 in2.

You might be interested in
Solve for n: -4(3n+3)=5(-2-6n)-2
STALIN [3.7K]

Answer:

n=0

Step-by-step explanation:

We want to solve for n in the equation

-4(3n+3)=5(-2-6n)-2

We expand using the distributive property to obtain:

-12n-12=-10-30n-2

We group similar terms to get:

-12n+30n=-10+12-2

We simplify to get:

18n=0

Divide through by 18 to get:

n=0

8 0
3 years ago
David has a rectangle and a right triangle.
emmasim [6.3K]

Answer:

2w^2+10w

Step-by-step explanation:

Let's start with the rectangle.

The length of the rectangle is:

L = 5 + w

The width of the rectangle is:

W

So, the equation of the area for the rectangle would be:

(w)(5+w) due to the area of a rectangle being length x width

Now, onto the triangle.

The length of the shorter side is equal to the width of the rectangle:

L(1) = w

The length of the longer side of the triangle is twice the length of the rectangle, so going back to what we have the rectangles length being:

L(2) = (2)(5+w) or 10 + 2w

Now to find the area of the triangle, use the equation 1/2(b)(height)

So plug it in:

1/2(w)(10 + 2w)

Which equals 1/2(10w + 2w^2)

Now, we times it by 1/2, so we will put it into a fraction:

1 x (10w + 2w^2)/2

10w + 2w^2/2

Now factor it:

2w(5 + w)/2

2 cancels out 2, so we are left with

w(w+5) = w^2 + 5w

So, the equation says what is the combined area of the rectangle and triangle

Rectangle area: w(w+5) = w^2 + 5w

Triangle area: w^2 + 5w

So, the combined area is 2w^2 + 10w

hope that helps!! I understand this question is hard, so I tried to explain as best as I can :)

for me, this is an EOC question, so to all those taking the test good luck! study hard!!

3 0
3 years ago
What is 2•3^4•7^2 in composite form
abruzzese [7]

The answer to that equation is 7938

8 0
4 years ago
Read 2 more answers
Find the linear equation of the line that goes through the given points: f(4)= -5 and f(12)=1
mestny [16]
Ou this is complicated I think -5/6
6 0
3 years ago
Carol is a pet groomer whose yearly gross pay is $45,000. Her exemptions total $4,000 and the state tax rate is 3.5%. How much d
Goryan [66]

Answer:

  $119.58

Step-by-step explanation:

We expect Carol's annual tax bill to be the difference of her pay and exemption, multiplied by the tax rate:

  annual tax = ($45,000 -4,000) × 0.035 = $1,435

Then her monthly tax bill will be 1/12 of this:

  monthly state tax = $1435/12 = $119.58

Carol pays $119.58 in state taxes each month.

7 0
3 years ago
Other questions:
  • How to simplify 3×m×m??
    13·2 answers
  • Solve the inequality. 2(4+2x)≥5x+5<br> x≤−2 <br> x≥−2 <br> x≤3<br> x≥3
    13·2 answers
  • A rectangular price tag has an area of 30 square centimeters and a perimeter of 26 centimeters. What are the dimensions of the p
    6·1 answer
  • Based on the graph below, how would you describe the curve
    5·1 answer
  • Pls I need help understanding​
    7·1 answer
  • Please help me with 168÷45​
    12·1 answer
  • Select ALL the correct answers.
    9·1 answer
  • What kind of number is e? <br><br> a.) integer<br> b.) rational <br> c.) natural <br> d.) irrational
    14·2 answers
  • at a given high school the probability that a student is taking a geometry class is 0.24 the probability that a student is takin
    13·2 answers
  • At the laundromat, Carol used to pay $1.50 per load, but the company has increased the price per load by 20%. Estimate the amoun
    8·1 answer
Add answer
Login
Not registered? Fast signup
Signup
Login Signup
Ask question!