1answer.
Ask question
Login Signup
Ask question
All categories
  • English
  • Mathematics
  • Social Studies
  • Business
  • History
  • Health
  • Geography
  • Biology
  • Physics
  • Chemistry
  • Computers and Technology
  • Arts
  • World Languages
  • Spanish
  • French
  • German
  • Advanced Placement (AP)
  • SAT
  • Medicine
  • Law
  • Engineering
Keith_Richards [23]
3 years ago
14

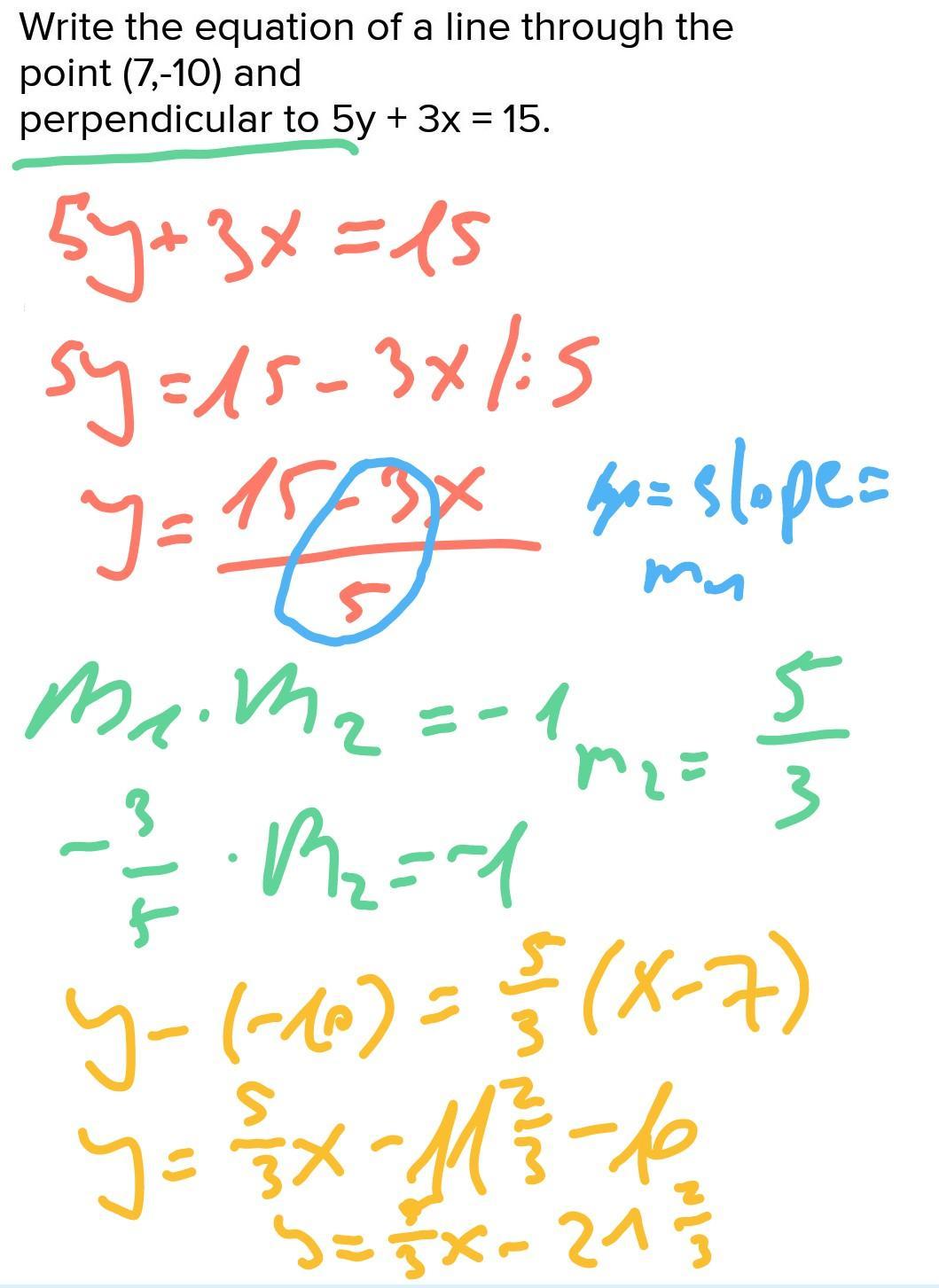
Write the equation of a line through the point (7,-10) and perpendicular to 5y + 3x = 15.

Mathematics
1 answer:
Alla [95]3 years ago
7 0

Step-by-step explanation:

In order to find the equation I used the following formula:

y - y1 = m ( x - x1)

P.s y1 & x1 are the coordinates of the given point

If you have any questions about the way I solved it, don't hesitate to ask me in the comments below :)

You might be interested in
If there is 10 dollars and someone needs to distribute it to 5 people how much is everyone getting
Kryger [21]
Each person would get 2 dollars
8 0
4 years ago
Read 2 more answers
Dog's video shop rent games for 3 games for $9.99. What is
forsale [732]

Answer:$43.29

Step-by-step explanation:

3 0
3 years ago
Read 2 more answers
What is the geometric mean of 3 and 24?​
Contact [7]

Answer:

for GM, you find out the square root of the product of the numbers provided.

= \sqrt{3 \times 24}  \\  =  \sqrt{72} \\  = 6 \sqrt{2}

since 72 can be broken down into the product of 36 and 2. 6 being the square root of 36 comes out, leaving 2 behind.

7 0
3 years ago
Read 2 more answers
An electrical firm manufactures light bulbs that have a length of life that is approximately normally distributed, with mean equ
kompoz [17]

Answer:

0.62% probability that a random sample of 16 bulbs will have an average life of less than 775 hours.

Step-by-step explanation:

The Central Limit Theorem estabilishes that, for a random variable X, with mean \mu and standard deviation \sigma, a large sample size can be approximated to a normal distribution with mean \mu and standard deviation \frac{\sigma}{\sqrt{n}}

Normal probability distribution.

Problems of normally distributed samples can be solved using the z-score formula.

In a set with mean \mu and standard deviation \sigma, the zscore of a measure X is given by:

Z = \frac{X - \mu}{\sigma}

The Z-score measures how many standard deviations the measure is from the mean. After finding the Z-score, we look at the z-score table and find the p-value associated with this z-score. This p-value is the probability that the value of the measure is smaller than X, that is, the percentile of X. Subtracting 1 by the pvalue, we get the probability that the value of the measure is greater than X.

In this problem, we have that:

\mu = 800, \sigma = 40, n = 16, s = \frac{40}{\sqrt{16}} = 10

Find the probability that a random sample of 16 bulbs will have an average life of less than 775 hours.

This probability is the pvalue of Z when X = 775. So

Z = \frac{X - \mu}{s}

Z = \frac{775 - 800}{10}

Z = -2.5

Z = -2.5 has a pvalue of 0.0062. So there is a 0.62% probability that a random sample of 16 bulbs will have an average life of less than 775 hours.

5 0
4 years ago
Find the slope of the line that is parallel and perpendicular <br><br> -7x-2y=4
Rus_ich [418]

\bf -7x-2y=4\implies -2y=7x+4\implies y=\cfrac{7x+4}{-2}\implies y=\cfrac{7x}{-2}+\cfrac{4}{-2} \\\\\\ y=\stackrel{\stackrel{m}{\downarrow }}{-\cfrac{7}{2}} x-2\qquad \impliedby \begin{array}{|c|ll} \cline{1-1} slope-intercept~form\\ \cline{1-1} \\ y=\underset{y-intercept}{\stackrel{slope\qquad }{\stackrel{\downarrow }{m}x+\underset{\uparrow }{b}}} \\\\ \cline{1-1} \end{array} \\\\[-0.35em] ~\dotfill

\bf \stackrel{\textit{perpendicular lines have \underline{negative reciprocal} slopes}} {\stackrel{slope}{-\cfrac{7}{2}}\qquad \qquad \qquad \stackrel{reciprocal}{-\cfrac{2}{7}}\qquad \stackrel{negative~reciprocal}{\cfrac{2}{7}}}

now, what's the slope of a line parallel to that one above?  well, parallel lines have exactly the same slope.

5 0
3 years ago
Other questions:
  • A rock is thrown from the top of a tall building.The distance in feet between the rock and the ground t seconds after thrown is
    13·1 answer
  • buzz makes 75% of her free throws.If she whats to set the record of making 48 free throws in 5 minutes,how many free throws does
    5·2 answers
  • Use this diagram to answer the questions
    7·1 answer
  • Factor the expression x2 - 49.<br> A. 7(x² – 7)<br> B. 7.(2-7)<br> C. 2+7(2-7)<br> D. (x + 7)(x-7)
    7·1 answer
  • If I bought shoes for 32.30 with 15% off 7%sales tax a 25dollar gift card but had a coupon that was forgotten for 5%off the orig
    7·1 answer
  • Please help... Solve using the quadratic formula x^2 - 6x - 40=0
    14·1 answer
  • Which expression is equivalent to 5 (2 + 7)?
    10·2 answers
  • PLSSS HELPPPP I WILLL GIVE YOU BRAINLIEST!!!!!!
    12·2 answers
  • Write the numerical expression 34 in expanded form.
    9·1 answer
  • The triangles are similar. Write a similarity statement for the triangles.
    15·1 answer
Add answer
Login
Not registered? Fast signup
Signup
Login Signup
Ask question!