1answer.
Ask question
Login Signup
Ask question
All categories
  • English
  • Mathematics
  • Social Studies
  • Business
  • History
  • Health
  • Geography
  • Biology
  • Physics
  • Chemistry
  • Computers and Technology
  • Arts
  • World Languages
  • Spanish
  • French
  • German
  • Advanced Placement (AP)
  • SAT
  • Medicine
  • Law
  • Engineering
Fofino [41]
4 years ago
9

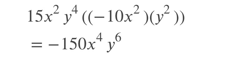
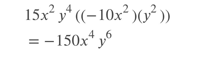
Can someone fully simplify this for me please? : 15x^2 y^4 (−10x^2 y^2 )

Mathematics
1 answer:
satela [25.4K]4 years ago
4 0

This is the answer, Hope it is right. Sorry if it is wrong.

You might be interested in
F(x) = 6x+2, find f (x+3)
nikklg [1K]

Answer:

6x+20

Step-by-step explanation:

F(x) = 6x+2

f(x+3) means replace x with x+3

F(x+3) = 6(x+3)+2

         = 6x+18+2

         = 6x+20

3 0
3 years ago
Read 2 more answers
Please help!
likoan [24]

Answer: 123

Step-by-step explanation:

5 0
3 years ago
I need help with all of it
kakasveta [241]
When you bring something up or move something down, you have to multiply the exponent by -1. So in this case, you are bringing up the exponent. Multiply 5 by -1 and your answer should be x^5/1.
5 0
4 years ago
There are 5 flower gardens in front of the building where Eddie works. Eddie has 40 red and 80 white flowering plants to put in
zimovet [89]
24 plants will be in each garden. 
4 0
3 years ago
Read 2 more answers
STOP IGNORING ME AND HELP ME NOW
zubka84 [21]

Answer:

about $1148.06

Step-by-step explanation:

Your goal is to find the area of the island of grass and multiply that area by the cost per square yard.

Area = radius * radius * pi

You are told that the <em>diameter = 15 yards</em>. We also know that the radius that we need is half of the diameter. <em><u>Radius = 7.5 yards</u></em>.

This means that the <em>Area = 7.5 * 7.5 * 3.14 = 176.625 square yards</em>

Then we multiply by the cost per square yard:

176.625 * 6.50 = 1148.06 is your answer

8 0
4 years ago
Read 2 more answers
Other questions:
  • Can someone help me please?
    8·1 answer
  • What is the coordinate plane graphing slope and linear equation from mcdonald publishing co PLEASE HURRY!!
    11·1 answer
  • A line passes through (−1, 5)(−1, 5) and (1, 3)(1, 3). which answer is the equation of the line? x y = 4 x y = 2 x 2y = 5 x 2y =
    12·1 answer
  • The population of cats that are rescued every year is currently 50,000 and declines at a rate of 1.2% every year. This models
    12·1 answer
  • the width of a rectangle is 2 more than 4 times its length. The perimeter of the rectangle is 24 centimeters. Find the width of
    13·1 answer
  • Where in the real-world is the Pascal Triangle used? Provide an example.
    11·1 answer
  • What ur fav ainme :)
    12·2 answers
  • Please help me thanks please thanks
    15·2 answers
  • Rihanna used this number line to solve this problem. Which problem could she have been solving
    14·2 answers
  • A nut mixture of peanuts and macadamia nuts at a small fair is $1.00 per pound of peanuts and $3.26 per pound of macadamia nuts.
    7·1 answer
Add answer
Login
Not registered? Fast signup
Signup
Login Signup
Ask question!