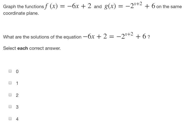
Answer:
is there a picture?
Step-by-step explanation:
Answer:
yeah it's B
hope this helps
have a good day :)
Step-by-step explanation:
Answer:
b
Step-by-step explanation:
because i took the test
Answer:
D)

Step-by-step explanation:
Perimeter of a rectangle = 2(length + width)
where,
Length = 2x - 3; width = x + 1
Thus,

Collect like terms in the bracket


Expand the bracket

Step-by-step explanation:
answer: counterclockwise rotation about the origin by 90degrees followed by reflection about the x-axis.
please give me brainliest:)