1answer.
Ask question
Login Signup
Ask question
All categories
  • English
  • Mathematics
  • Social Studies
  • Business
  • History
  • Health
  • Geography
  • Biology
  • Physics
  • Chemistry
  • Computers and Technology
  • Arts
  • World Languages
  • Spanish
  • French
  • German
  • Advanced Placement (AP)
  • SAT
  • Medicine
  • Law
  • Engineering
saveliy_v [14]
3 years ago
7

Stock X has a standard deviation of return of 10%. Stock Y has a standard deviation of return of 20%. The correlation coefficien

t between these stocks is 0.5. If you invest 60% of the funds in stock X and 40% in stock Y, what is the standard deviation of your portfolio?

Business
1 answer:
Andru [333]3 years ago
5 0

Answer:

12.16%.

Explanation:

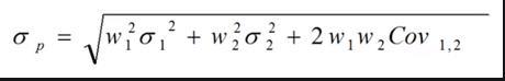
Standard Deviation is a financial metric that is used to quantify risk. It is used for risk management strategies. One of the main uses of Standard Deviation is to calculate the Value at Risk for a Portfolio, which is the minimum/maximum loss that a portfolio can incur over a given period of time. The formula that is used to calculate the Standard Deviation of Portfolio is attached.

Standard Deviation of Portfolio =

\sqrt{x} (.1)x^{2} * (.6)x^{2}  + (.2)x^{2}  * (.4)x^{2}  + 2 * (.6) * (.4) * (.5) * (.1) * (.2) = 12.16%.

You might be interested in
The Converting Department of Soft Touch Towel and Tissue Company had 1,200 units in work in process at the beginning of the peri
maks197457 [2]

Answer:

Soft Touch Towel and Tissue Company

Number of Equivalent Units of Production

                                      Whole Units      Direct Materials              Conversion                          

                                                               Equivalent Units         Equivalent Units

Inventory in process,

beginning                          1,200                       0                                 900

Started and completed   14,800                  14,800                         14,800

Transferred to Packing    

Department                      16,000                 14,800                          15,700

Inventory in process,

ending                               2,000                    2,000                             800

Total                                 18,000                  16,800                          16,500

Explanation:

Conversion Equivalent Units

Inventory in process, beginning = 1,200 × 0.75 = 900

Inventory in process, ending = 2,000 × 0.40 = 800

7 0
3 years ago
Regardless of whether a business uses FIFO, LIFO, or weighted average cost for its inventory costing system, cost of goods avail
REY [17]

Answer:

Cost of goods available for sale must be allocated at the end of the period between ending inventory and cost of goods sold.

Explanation:

Cost of goods available for sale can be described as the <u>maximum amount</u> of inventory, stock, or goods that is possible for a firm to sell during an accounting period. It is the maximum amount because it is not possible for a firm to sell more than the cost of goods available for sale.

The cost of goods available for sale is obtained by adding beginning inventory and net purchases during an accounting period. This can be stated as follows:

COGAFS = BI + NP ............................... (1)

Where;

COGAFS = Cost of goods available for sale

BI = Beginning inventory

NP = Net purchases

At the end of an accounting period, ending inventory is deducted from the cost of goods available for sale to obtain cost of goods sold as follows:

COGS = COGAFS - EI ............................ (2)

Where;

COGS = Cost of goods sold

COGAFS = Cost of goods available for sale

EI = Ending inventory

Rearranging equation (2) and solve for COGAFS, we have:

COGFAS = COGS + EI ........................... (3)

Equation (3) therefore implies that the correct option is "cost of goods available for sale must be allocated at the end of the period between ending inventory and cost of goods sold".

8 0
3 years ago
A column in journal and ledger accounts used to cross reference journal and ledger entries is the:
victus00 [196]
Aaaaaaaaaaaaaaaaaaaaaaaaaaaaaaaaaaaaaaaaaaaaaaaaaaaaaaaaaaaa
8 0
3 years ago
ABC has the following: cash, $102 million; receivables, $94 million; inventory, $182 million; other current assets, $18 million,
Leno4ka [110]

Answer:

Current ratio = 4.04      

Explanation:

Current ratio measures the ability of a business to settle its short term obligations using its liquid financial resources (current assets)

<em>A current ratio in excess of 2 is considered as adequate (except for some special occasions) and vice versa</em>.

Current ratio is computed as follows:

Current ratio = current assets/current liabilities

Applying this we have

                                                                                    $

Cash                                                                          102

Receivable                                                                 94

Inventory                                                                   182

Other current assets                                                <u> 18</u>

<em>Total current assets                                                 396 </em>

<em><u>To</u></em><em>tal current liability                                                 98</em>

Current ratio=    Total current assets / T<u>o</u>tal current liability        

Current ratio = 396/98= 4.04:1                        

Current ratio = 4.04                

3 0
4 years ago
Construction is an example of a(n) ____ externality. One way to correct this problem is to impose a tax equal to the externality
nexus9112 [7]

Answer:

The correct word for the blank space is: negative.

Explanation:

An Externality is a cost or benefit incurred or obtained by a third party that does not influence the factors which generated the cost or benefit. In the same context, negative externalities are those that affect individuals who are not involved in the production process that causes the negative externality. <em>Pollution, noise, traffic, construction works</em> are considered some examples.

5 0
3 years ago
Other questions:
  • You are purchasing a 20-year, zero-coupon bond. the yield to maturity is 8.68 percent and the face value is $1,000. what is the
    11·1 answer
  • Best Foods Company is considering expanding beyond the regional market segments now served by its Hellmann's mayonnaise. One cri
    12·2 answers
  • An example of an institutional coi is: the organization gives scholarships to some post-doctoral researchers an industry sponsor
    12·2 answers
  • An example of a capital budgeting decision is deciding: Group of answer choices how many shares of stock to issue whether or not
    9·1 answer
  • Suppose the total cost of producing 5 comma 000 tennis balls is ​$50 comma 000​, and the fixed cost is ​$10 comma 000. What is t
    5·1 answer
  • 23.
    9·1 answer
  • What is the fifth step in the composite risk management (crm) process?
    6·1 answer
  • A $1,000 par value 12-year bond with a 9 percent coupon rate recently sold for $980. The yield to maturity is
    11·1 answer
  • Emilio’s accountant told him that if he continues to pay $50 a month on his credit card, it will take him 42 years to pay off hi
    8·1 answer
  • Which department would a marketing manager contact to make sure that enough product is on on hand for an upcoming promotion ?
    11·1 answer
Add answer
Login
Not registered? Fast signup
Signup
Login Signup
Ask question!