1answer.
Ask question
Login Signup
Ask question
All categories
  • English
  • Mathematics
  • Social Studies
  • Business
  • History
  • Health
  • Geography
  • Biology
  • Physics
  • Chemistry
  • Computers and Technology
  • Arts
  • World Languages
  • Spanish
  • French
  • German
  • Advanced Placement (AP)
  • SAT
  • Medicine
  • Law
  • Engineering
zheka24 [161]
3 years ago
5

50 points for who's right

Mathematics
2 answers:
Alisiya [41]3 years ago
7 0
18.1734666 that’s what I got
Wittaler [7]3 years ago
6 0

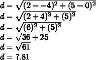
Answer:

A 7.81

Step-by-step explanation:

Use the distance formula to find the distance between coordinates.

You might be interested in
Find the slope of the line passing through (-9,3), (-3,-5)
egoroff_w [7]

Answer:

-4/3

Step-by-step explanation:

Slope: (y2-y1)/(x2-x1)

(-5-3)/(-3+9) = -8/6 = -4/3

The slope is -4/3

6 0
3 years ago
Find the solution to the system of equations: x + 3y = 7 and 2x + 4y = 8 1. Isolate x in the first equation: 2. Substitute the v
Anettt [7]
X + 3y = 7
x = -3y + 7

2x + 4y = 8
2(-3y + 7) + 4y = 8
-6y + 14 + 4y = 8
-6y + 4y = 8 - 14
-2y = - 6
y = -6/-2
y = 3

x + 3y = 7
x + 3(3) = 7
x + 9 = 7
x = 7 - 9
x = -2

solution is (-2,3)
5 0
3 years ago
Read 2 more answers
This quadrant has the signs (-, -) of
yarga [219]

Answer: quadrant III  

Step-by-step explanation: srry if am wrong

3 0
3 years ago
A die has six sides, with the numbers 1, 2, 3, 4, 5, and 6. What is the probability of rolling a number greater than 2? ​
Vinil7 [7]

Answer:

1/2

Step-by-step explanation:

There are 3 numbers greater than 2: 3, 4, 5, and 6. There are 6 numbers, so it is 3/6=1/2.

8 0
2 years ago
Use y = 5x + 36 to find the value of x when y = 80.
xenn [34]

Answer:

If y = 80 then 5x+36 also equals 80

80 - 36 = 44

therefore 5x = 44

44 / 5 = 8.8

x=8.8

Step-by-step explanation:

3 0
3 years ago
Read 2 more answers
Other questions:
  • I need question 38...thank you
    7·1 answer
  • What is the ordered pair for point K? A. (–4,–5)
    5·1 answer
  • Mrs gee has 24 carpet squares. How should she arrange them so she has the smallest perimeter?
    7·1 answer
  • If r=7 and h = 9 units, what is the volume of the cylinder. Use 3.14
    13·2 answers
  • The graph shows the amount of money earned by two different workers.
    15·2 answers
  • What is the surface area of this triangular prism rounded to the nearest tenth? A) 63.3 cm2 B) 75.6 cm2 C) 85.7 cm2 D) 97.2 cm2
    7·1 answer
  • (29 points) <br><br> what is the slope of the line that passed through the points (3,-1) and (-2,-5)
    6·1 answer
  • Please help! Correct answers only please!
    15·1 answer
  • If the height of Mount Everest is about 8.8 time 10 to the third power meters and the height of the Empire State Building is abo
    13·1 answer
  • What is the translation shown in the following graph?
    13·1 answer
Add answer
Login
Not registered? Fast signup
Signup
Login Signup
Ask question!