1answer.
Ask question
Login Signup
Ask question
All categories
  • English
  • Mathematics
  • Social Studies
  • Business
  • History
  • Health
  • Geography
  • Biology
  • Physics
  • Chemistry
  • Computers and Technology
  • Arts
  • World Languages
  • Spanish
  • French
  • German
  • Advanced Placement (AP)
  • SAT
  • Medicine
  • Law
  • Engineering
Ghella [55]
3 years ago
14

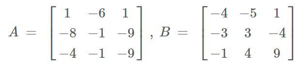
Find the product AB, if possible.

Mathematics
1 answer:
EastWind [94]3 years ago
3 0

Answer:

see below

Step-by-step explanation:

The number of columns of A is equal to the number of rows of B, so multiplication is possible. It works well to have a calculator do this for you. It involves 27 multiplications and 18 additions, tedious at best.

Each product term is the sum of products ...

p[row=i, column=j] = a[i, 1]b[1, j] +a[i, 2]b[2, j] +a[i, 3]b[3, j]

For example, the product term in the 3rd row, 2nd column is ...

p[3, 2] = a[3, 1]b[1, 2] +a[3, 2]b[2, 2] +a[3, 3]b[3, 2]

= (-4)(-5) +(-1)(3) +(-9)(4) = 20 -3 -36

p[3, 2] = -19

You might be interested in
Is this true or false 4/3 = 8/9
nirvana33 [79]
False. To make nine, you must multiply three by three. Four times three isn’t 8. An equivalent equation would be 4/3=12/9
7 0
3 years ago
The probability of sandy flipping a coin twice and getting heads both times is 0.25 the probability of john's spinner stopping o
Rom4ik [11]

The true statement is (c) Neither. Both events are equally likely.

<h3>Complete question</h3>

The probability of Sandy flipping a coin twice and getting heads both times is 0.25. The probability of John's spinner stopping on the color red is 1/4.

Which of these events is more likely?

-Sandy flips a coin twice and gets heads both times.

-John's spinner stops on the color red.

-Neither. Both events are equally likely.

<h3>How to determine the likely event?</h3>

The given parameters are:

P(Head twice) = 0.25

P(Red) = 1/4

Rewrite P(Red) as:

P(Red) = 0.25

By comparison, we have:

P(Red) = P(Head twice) = 0.25

This means that both events are equally likely

Hence, the true statement is (c)

Read more about probability at:

brainly.com/question/966102

#SPJ1

8 0
2 years ago
I need this answer ASAP! To the nearest whole number, what is the approximate volume of the shaded part of this figure? Use 3.14
jolli1 [7]

Answer:

A picture would be needed to solve this

5 0
3 years ago
Simplify 8 over negative 4 ÷ negative 3 over 9 . (5 points)
Svetach [21]

Answer:

6

Step-by-step explanation:

-\frac84 divided-\frac39\\-2 divided- \frac13\\-2 \cdot -3\\6

8 0
3 years ago
I need help with this problem
Soloha48 [4]

Answer:

3.\ \dfrac{3x}{11x}, \dfrac{6}{22},  \dfrac{9}{33},\dfrac{12}{44}

4. -18\\5.\ 400

Step-by-step explanation:

<u>Solution 3:</u>

Equivalent fractions to are to \frac{3}{11} be found out.

<u>Method: </u> By Multiplying both the denominator and numerator with the same number, we can easily find equivalent fractions.

1. Multiply with 2:

\dfrac{3 \times 2}{11 \times 2}\\\Rightarrow \dfrac{6}{22}

2. Multiply with 3:

\dfrac{3 \times 3}{11 \times 3}\\\Rightarrow \dfrac{9}{33}

3. Multiply with 4:

\dfrac{3 \times 4}{11 \times 4}\\\Rightarrow \dfrac{12}{44}

If we try to write in variable form, it can be written as:

\dfrac{3x}{11x}

where x is any number.

---------------

<u>Solution 4:</u>

(2x-10) when x=-4

2 \times (-4) -10\\\Rightarrow -8 -10\\\Rightarrow -18

------------

<u>Solution 5:</u>

(10a)^2, a=-2\\\Rightarrow \{10 \times (-2)\}^2\\\Rightarrow (-20)^2\\\Rightarrow 400

4 0
3 years ago
Other questions:
  • What is the sum or product of 107+0+39+13
    9·1 answer
  • Lina is making a trail mix of a hiking trip. She has 2 1/2 cups of peanuts, 3 1/4 cups of raisins, and 2 2/3 cups of banana chip
    9·1 answer
  • Can someone help me please? Thanks!
    12·1 answer
  • How to work the equation -12=4e+23+e​
    11·2 answers
  • Nancy ate 34 ounces of cake. How much cake did she eat?
    6·2 answers
  • Which statement about the fraction is true ?
    5·1 answer
  • Helpp me hw is so stressing
    10·1 answer
  • Howard needs to buy pens and pencils for work. Pens cost $0.40 each and pencils cost 50.25 each. He needs to buy at least 340
    15·1 answer
  • Find the surface area of the pyramid.
    8·2 answers
  • At olive
    9·2 answers
Add answer
Login
Not registered? Fast signup
Signup
Login Signup
Ask question!