Answer:
Step-by-step explanation:
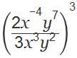
The first step to solving this problem is to simplify the contents inside the brackets. Since all the terms are multiplied together, you can cancel the fraction separately between the numerator and denominator. Let's start with the x terms.
The division law of exponents states that when exponents with the same base are divided, the exponents are subtracted.
This means to simplify the x terms we have:

This means the overall problem now looks like this:

Now we can repeat that with the y term:

Now our complete problem only has one fraction in the brackets which we can simplify if we wish:

Now we can finish the problem by raising every term inside the brackets to the power of 3. Raising an exponent to an exponent multiplies them together so our equation is now here:

After multiplying and simplifying we are left with the answer:

(1dp)
Negative exponents mean they are positive as a denominator so:

Also works as an answer
Hope this helped!