Answer:The most common injuries were sprains/strains (39% of the total), lacerations (22%), and contusions (15%). Forty-nine percent of the injuries resulted in one or more lost or restricted workdays; 25% resulted in 7 or more lost or restricted workdays.
Explanation:
The most common injuries were sprains/strains (39% of the total), lacerations (22%), and contusions (15%). Forty-nine percent of the injuries resulted in one or more lost or restricted workdays; 25% resulted in 7 or more lost or restricted workdays.
Answer:
<u><em>To answer this question we assumed that the area units and the thickness units are given in inches.</em></u>
The number of atoms of lead required is 1.73x10²³.
Explanation:
To find the number of atoms of lead we need to find first the volume of the plate:

<u>Where</u>:
A: is the surface area = 160
t: is the thickness = 0.002
<u><em>Assuming that the units given above are in inches we proceed to calculate the volume: </em></u>
Now, using the density we can find the mass:

Finally, with the Avogadros number (
) and with the atomic mass (A) we can find the number of atoms (N):
Hence, the number of atoms of lead required is 1.73x10²³.
I hope it helps you!
Answer:
a) the temperature to which the pin must be cooled for assembly is 
b) the radial pressure at room temperature after assembly is 
c) the safety factor in the resulting assembly = 6.4
Explanation:
Coefficient of thermal expansion 
Yield strength
= 400 MPa
Modulus of elasticity (E) = 209 GPa
Room Temperature
= 20°C
outer diameter of the collar 
inner diameter of the collar
pin diameter
= 
Clearance c = 0.06 mm
a)
The temperature to which the pin must be cooled for assembly can be calculated by using the formula:


-0.09 = 

-0.09 =

=
−0.07523262 =


b)
To determine the radial pressure at room temperature after assembly ;we have:

c) the safety factor of the resulting assembly is calculated as:
safety factor = 
safety factor = 
safety factor = 6.4
Thus, the safety factor in the resulting assembly = 6.4
Answer:
weight of astronaut 
Explanation:
Given data:
astronaut weight is = 125 lbs
distance of shuttle from surface of earth is 200 mils
we know that 
where G, m_1, m_2 are constant value, so we have

radius of earth is 4000 miles
where r_2 = 4000 + 200 = 4200 miles


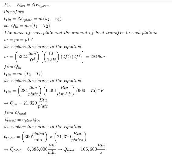
Answer:
Along the zero to measure an object on a ruler