Answer:
Subtract
from both sides
Step-by-step explanation:
When we solve a one variable equation then we isolate variable in the right side of the equation,
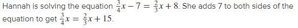
Here, the given equation,

Adding 7 on both sides,

We need to isolate x in the right side,
So, we have to remove the term having x in the left side,
For this we need to subtract
on both sides,
Further steps are as follow,


