1answer.
Ask question
Login Signup
Ask question
All categories
  • English
  • Mathematics
  • Social Studies
  • Business
  • History
  • Health
  • Geography
  • Biology
  • Physics
  • Chemistry
  • Computers and Technology
  • Arts
  • World Languages
  • Spanish
  • French
  • German
  • Advanced Placement (AP)
  • SAT
  • Medicine
  • Law
  • Engineering
Hoochie [10]
3 years ago
9

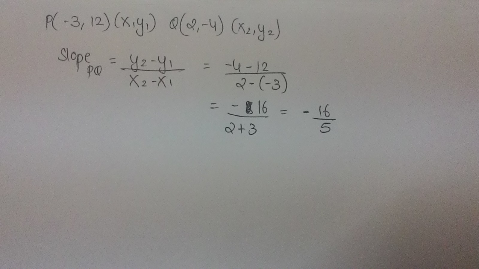
What is the slope of the line that contains the points A(−3,12) and B(2,−4)?

Mathematics
1 answer:
Natasha2012 [34]3 years ago
6 0
Hope this helps you.

You might be interested in
I can tell you the answer is NOT 12.6 or 12.6803 or anything like that
Ilya [14]

Answer:

did you try 12.7?

Step-by-step explanation:

because the 8 would make it go up one since it's greater than 5

5 0
3 years ago
Read 2 more answers
20% of a is 11. what is a?​
Oksana_A [137]

Answer:

a=55

Step-by-step explanation:

20%/100=0.2

a=11/0.2

a=55

5 0
3 years ago
If 25% of y is 30, what is 60% of y?
madam [21]

Answer:

60% of Y is 72

Step-by-step explanation:

25% of Y is 30 so multiply 30 by 4 and you get 120. Multiply 120 by .60 and that leaves you with 72 as your answer.

5 0
4 years ago
“The following are the distances (in miles) to the nearest airport for 16 families. 10, 11, 14, 15, 16, 18, 20, 27, 27, 30, 31,
slava [35]

We can construct a box-and-whisker plot to represent a five statistical summary. To do this plot, we need first to find:

1. Minimum of the data.

2. First quartile.

3. Median.

4. Third quartile.

5. Maximum of the data.

To do this:

1. We first need to order the data from least to greatest. It has already been done.

Then, we have that the minimum is 10. We also know that the maximum is 42. We have these two points to graph in the plot.

Median

2. Now we need to find the first quartile, the median, and the third quartile.

We can find the median first. The data in ascending order is:

10, 11, 14, 15, 16, 18, 20, 27, 27, 30, 31, 33, 33, 37, 38, 42

The median is the value for which 50 percent of the data is below it, and 50 percent of the data is above this value. We have here, an even number of data (16 values). Then, we have that the median is:

a. We have that the median is 27 because we have an even number of data, we have two central values:

10, 11, 14, 15, 16, 18, 20, 27, 27, 30, 31, 33, 33, 37, 38, 42

We need to sum these numbers and then divide them by 2. Then, we have:

(27 + 27)/2 = 27.

First Quartile

3. The first quartile is a value for which 25% of the values are below it, and 75% of the values are above it. We can proceed in a similar way (as we do for the median) to find the first quartile having into account the first eight numbers:

10, 11, 14, 15, 16, 18, 20, 27

Because we have an even number of values, we take the two central numbers, and then we need to find an average between them:

(15 + 16)/2 = 15.5

Third Quartile

In this case, we can do the same to find the first quartile, but because we need to find the third quartile, we need to take the last eight values:

27, 30, 31, 33, 33, 37, 38, 42

Then, the third quartile is:

(33 + 33)/2 = 33

Now, we have these five statistics:

Minimum = 10

First Quartile = 15.5

Median = 27

Third Quartile = 33

Maximum = 42

Now, we can plot these values as follows:

1. We can plot in a line the given numbers.

2. We need to graph these five numbers in this line.

3. The box starts in the First Quartile, and finish in the Third Quartile.

4. We draw the median inside the box.

5. Minimum and maximum will be outside this box.

Then, this graph is:

And this is the box and whisker plot for these data.

5 0
1 year ago
Multiply. Express your answer in standard form. Pleases be 100% honest with your response and ill Mark Brainliest. ​
allsm [11]
<h3><em>-2x (to the power of 4) + 10x (to the power of 3) - 21x (to the power of 2) +19x -4</em></h3><h3><em /></h3><h3><em>i didn’t know how to type the powers sorry!</em></h3>
4 0
3 years ago
Other questions:
  • Choose the correct equation in point-slope form for the line that passes through the point with the given slope. (2, -1), m= -3
    9·1 answer
  • State all integer values of x in the interval [0,7] that satisfy the following inequality
    15·1 answer
  • -3x + 1 + 10x = x + 4<br><br> x = 12<br> x = 18
    11·1 answer
  • Draw a model to find the product 84×0.24
    12·2 answers
  • A customer at a restaurant buys the lunch special, which includes a sandwich, a
    15·1 answer
  • Can someone explain to me how to answer questions like this? I always get confused!
    14·1 answer
  • ABC for life needs
    7·1 answer
  • Can you help me with this markup or discount?
    10·1 answer
  • Two lines that have the same y intercept and different slopes intersect at exactly one point.
    10·2 answers
  • Evaluate the expression when a=
    6·1 answer
Add answer
Login
Not registered? Fast signup
Signup
Login Signup
Ask question!