Answer:

Step-by-step explanation:
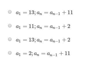
The given equation is

It's important to know that a recursive formula shows two important characteristics.
- The first term of the sucesion.
- The rule or pattern to obtain any term greater than the first term.
So, in this case, we first need to find the first term of the given sequence, that is, when 

So, the possible answers are the first and third choices.
Now, the following term would be when 

As you can see, the second term is 2 units greater than the first term. That means the right answer is the third choice, because it has a positive term of two units.

Let's try for 

Therefore, the answer is
