1answer.
Ask question
Login Signup
Ask question
All categories
  • English
  • Mathematics
  • Social Studies
  • Business
  • History
  • Health
  • Geography
  • Biology
  • Physics
  • Chemistry
  • Computers and Technology
  • Arts
  • World Languages
  • Spanish
  • French
  • German
  • Advanced Placement (AP)
  • SAT
  • Medicine
  • Law
  • Engineering
inysia [295]
3 years ago
9

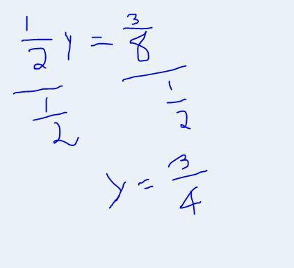
What is the answer to 1/2y=3/8

Mathematics
1 answer:
svp [43]3 years ago
3 0

Answer:

y = 3/4

Step-by-step explanation:

You might be interested in
Need help with this quick.
Orlov [11]

A trapezium is a quadrilateral. The option that is true for the trapezium is A, D, and E.

<h3>What is Trapezium?</h3>

A trapezium is a quadrilateral which is having a pair of opposite sides as parallel and the length of the parallel sides is not equal.

The given trapezium is an isoceles trapezium. Therefore, the properties of the trapezium that are true for KLMJ are:

  • KL is parallel to JM
  • ∠J is supplementary ∠K
  • ∠J is congruent to ∠M (Valid only for isoceles trapezium).

Hence, the option that is true for the trapezium is A, D, and E.

Learn more about Trapezium:

brainly.com/question/22607187

#SPJ1

4 0
2 years ago
How far is the star away from the earth in AU?
lisabon 2012 [21]

Answer:

268,770 AU i think im not to sure

Step-by-step explanation:

7 0
3 years ago
What is -2 &lt; 3t-2 ≤ 10? Plz show your work I need this today I will give brainliest to the person who answers quickly WITH YO
Zolol [24]

Answer:

0 < t <= 4

Step-by-step explanation:

<h2>ONLY FLIP THE INEQUALITY SIGN WHEN MULTIPLYING OR DIVIDING BY A NEGATIVE NUMBER</h2>

-2 < 3t - 2 <= 10

-2 + 2 < 3t - 2 + 2 <= 10 + 2

0 < 3t <= 12

0/3 < 3t/3 <= 12/3

0 < t <= 4

<h2>ONLY FLIP THE INEQUALITY SIGN WHEN MULTIPLYING OR DIVIDING BY A NEGATIVE NUMBER</h2>
4 0
3 years ago
Read 2 more answers
If 5x+15=45 what is the value of x
icang [17]

Answer:

X=6

Step-by-step explanation:

5x6=30+15

5 0
4 years ago
Read 2 more answers
The option gpe is best when the contracted volume is below 3750037500 units ​(enter your response as a whole​ number).the option
frozen [14]

Answer:

Find attached missing part of the question:

The option gpe is best when the contracted volume is below 31250  units

The option fms is best when the contracted volume is between 31,250 and 230,000  units ​

The option DM is best when contracted volume is above 230,000 units

Step-by-step explanation:

let x represent the volume produced in each of the three options:

Total cost(TC) =fixed cost+(variable per unit*x)

for general purpose equipment:

TC=125,000+18x equation 1

for flexible manufacturing system

TC=250,000+14x equation 2

for dedicated machine

TC=480,000+13x equation 3

if we set equations 1 and 2 together

125,000+18x=250,000+14x

If we equate equations 2 and 3 together

250,000+14x=480,000+13x

14x-13x=480,000-250,000

x=230,000

18x-14x=250,000-125,000

4x=125,000

divide both sides y 4

x=125,000/4=31250

Download xlsx
8 0
3 years ago
Other questions:
  • A bookstore buys 10 books for $69 each and sells them for $96.10 each. Write an expression and find the bookstores profit
    14·1 answer
  • 40 points!! The first term of an arithmetic sequence is -12. The common difference of the sequence is 7. What is the sum of the
    10·2 answers
  • the table shows the activities of two tourists at a vacation resort. you want to go parasailing for 1 hour and horseback riding
    8·1 answer
  • Let f(x) = 3x^2 + bx + c. Find values b and c such that the vertex is (4/3, -10/3)
    10·1 answer
  • What is the value of a? a–2=3+6a/3
    15·2 answers
  • Ages are 14,13,14,15,14,35,14. What is best measure of center and why
    6·1 answer
  • How many classifications shown contain organisms whose cells do not have nuclei?
    11·2 answers
  • Which r-value suggests a weak positive correlation? A. r = 0.17454 B. r = −0.17454 C. r = 0.98264 D. r = −0.98264
    10·1 answer
  • Evaluate the expression for n = 9.<br> 5(n + 1) =
    7·1 answer
  • The hourly wages that a large company pays its employees are Normally distributed with a mean of $8.50 and a standard deviation
    10·1 answer
Add answer
Login
Not registered? Fast signup
Signup
Login Signup
Ask question!