1answer.
Ask question
Login Signup
Ask question
All categories
  • English
  • Mathematics
  • Social Studies
  • Business
  • History
  • Health
  • Geography
  • Biology
  • Physics
  • Chemistry
  • Computers and Technology
  • Arts
  • World Languages
  • Spanish
  • French
  • German
  • Advanced Placement (AP)
  • SAT
  • Medicine
  • Law
  • Engineering
Papessa [141]
3 years ago
10

Could someone explain/answer these?

Mathematics
2 answers:
julsineya [31]3 years ago
4 0

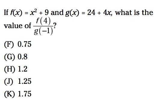
1)

f(x) = x² + 9                 g(x) = 24 + 4x

f(4) = (4)² + 9               g(-1) = 24 + 4(-1)

     = 16 + 9                         = 24 - 4

    =  25                              = 20

\frac{f(4)}{g(-1)} = \frac{25}{20} = \frac{125}{100} = 1.25

****************************************************************

g(x) = 2ˣ - 4                            f(x) = 4x² - 5x - 5

g(6) = 2⁶ - 4                          f(-5) = 4(-5)² - 5(-5) - 5

     = 64 - 4                                  = 100 + 25 - 5

     = 60                                       = 120

\frac{g(6)}{f(-5)} = \frac{60}{120} = \frac{1}{2} = 0.5

***************************************************************

f(x) = (3x + 7)²

f(1) = (3(1) + 7)²

    = (3 + 7)²

    = (10)²

    = 100

****************************************************************

3xy + 2x² - y³  ; when x = 6 and y = -2

3(6)(-2) + 2(6)² - (-2)³

 -36     +  72   -  (-8)

           36        +  8

                  44



Nostrana [21]3 years ago
4 0
When it asks for the value of f(?) or g(?), you plug whatever number is in the parentheses into the “x” of the equation that contains f or g. Hope this helped
You might be interested in
Help please I'm crying over this problem I'm so cnfused
Lady bird [3.3K]

Answer:

D

Step-by-step explanation:

Since we start with 10,080 gallons after 0 minutes pass, we see the next point. Luckily, we are given an exact point of a number between 10,080 and 8640. The difference of those two numbers is 1440, and divide that by 2 to get 720. So we drain 720 per hour. HOWEVER, it says "minutes", so we divide 720 by 60 (hour -> minutes) to get 12.

*The reason I divided by 2 was to get the number of gallons after 1 hour passes*

3 0
3 years ago
Read 2 more answers
Grades on a standardized test are known to have a mean of 1000 for students in the US. The test is administered to 453 randomly
Mademuasel [1]

Answer:

a:  1003 < µ < 1023

b:  See attached photo for answers

c:  see below

d and e:  See second attached photo

f:  See below

Step-by-step explanation:

a.  to find a confidence interval, first find the error with the formula,

E = Z(σ/√n)  where Z is the value of the z-score that relates to the confidence level, σ is the standard deviation of the population (or of the sample if the population standard deviation isn't given), and n is the sample size

For this problem, E = 1.96(108/√453) = 9.95 = 10

Now add and subtract that value form the sample average...

x - E < µ < x + E      becomes    1013 - 10 < µ 1013 + 10

simplifies to 1003 < µ < 1023

b.  See attached photo for hypothesis test results...

c.  H0:  µ = 1013  

    Ha:  µ > 1013 (claim)

They want to test if it's greater than their first attempt,  so this claim becomes the alternate hypothesis.  We're testing against their first attempt, that's why µ = 1013, not 1000

d and e.  See second attached photo for hypothesis test results...

f.  There is enough evidence to support the claim that the students second attempt was an improvement from their first attempt.  They happened to take a 2 hour tutoring course between tests.  This doesn't prove that the tutoring was effective thought.  It very well might have been effective, but also, the students taking the test again means they've already seen the test and know what to expect, which could have also boosted their scores.  

8 0
4 years ago
The partial blueprint for an office building shows one outer wall and a perpendicular inner wall. Which of the following could b
Aloiza [94]

Answer:

The equation of the perpendicular line:

2x + 5y = ╼ 15

5 0
3 years ago
Choose all answers that apply. thanks ♡♡​
Firlakuza [10]

Answer:

the first one and the second one not the third one

3 0
3 years ago
Read 2 more answers
Identify the values of x and y that make the equation 2x + 5i = 16 + (2y)i true. HELP ASAP!!
aliya0001 [1]

Answer:

x = 8; y = 2.5.

Step-by-step explanation:

As we know , when two complex numbers are equal their real as well as imaginary part are equal.

So comparing on both sides ,

2x = 16   and    5 = 2y

x = 8       and    y = 2.5.

So ,   x = 8; y = 2.5.

5 0
4 years ago
Other questions:
  • 3) k(a)= a + 4; Find K(0) ; k(2x - 7)
    15·1 answer
  • What is 12.8×3/4 pls answer this asap​
    6·2 answers
  • HELP PLEASE I REALLY AM CONFUSED PLEASE THANK YOU
    12·1 answer
  • What is 15.7 of 80 percent ?
    7·2 answers
  • What is the product of 3.4 × 10−14 and 1.8 × 1028?
    11·1 answer
  • If f(x) = 2^{5x}-3f(x)=2 <br> 5x<br> −3, what is the value of f(2)f(2)
    5·1 answer
  • Could someone help i don’t get this please
    10·1 answer
  • There are 20 trash cans along Claiborne Street, and 12 of them are full.
    6·1 answer
  • If two boxes of cereal and a jug of milk cost $8.50, and three boxes of cereal and two jugs of milk cost $14.00, how much does a
    7·1 answer
  • Casey was at the surface of a swimming pool and recorded the following two measurements, in feet, on a number line:
    15·1 answer
Add answer
Login
Not registered? Fast signup
Signup
Login Signup
Ask question!