1answer.
Ask question
Login Signup
Ask question
All categories
  • English
  • Mathematics
  • Social Studies
  • Business
  • History
  • Health
  • Geography
  • Biology
  • Physics
  • Chemistry
  • Computers and Technology
  • Arts
  • World Languages
  • Spanish
  • French
  • German
  • Advanced Placement (AP)
  • SAT
  • Medicine
  • Law
  • Engineering
nlexa [21]
3 years ago
6

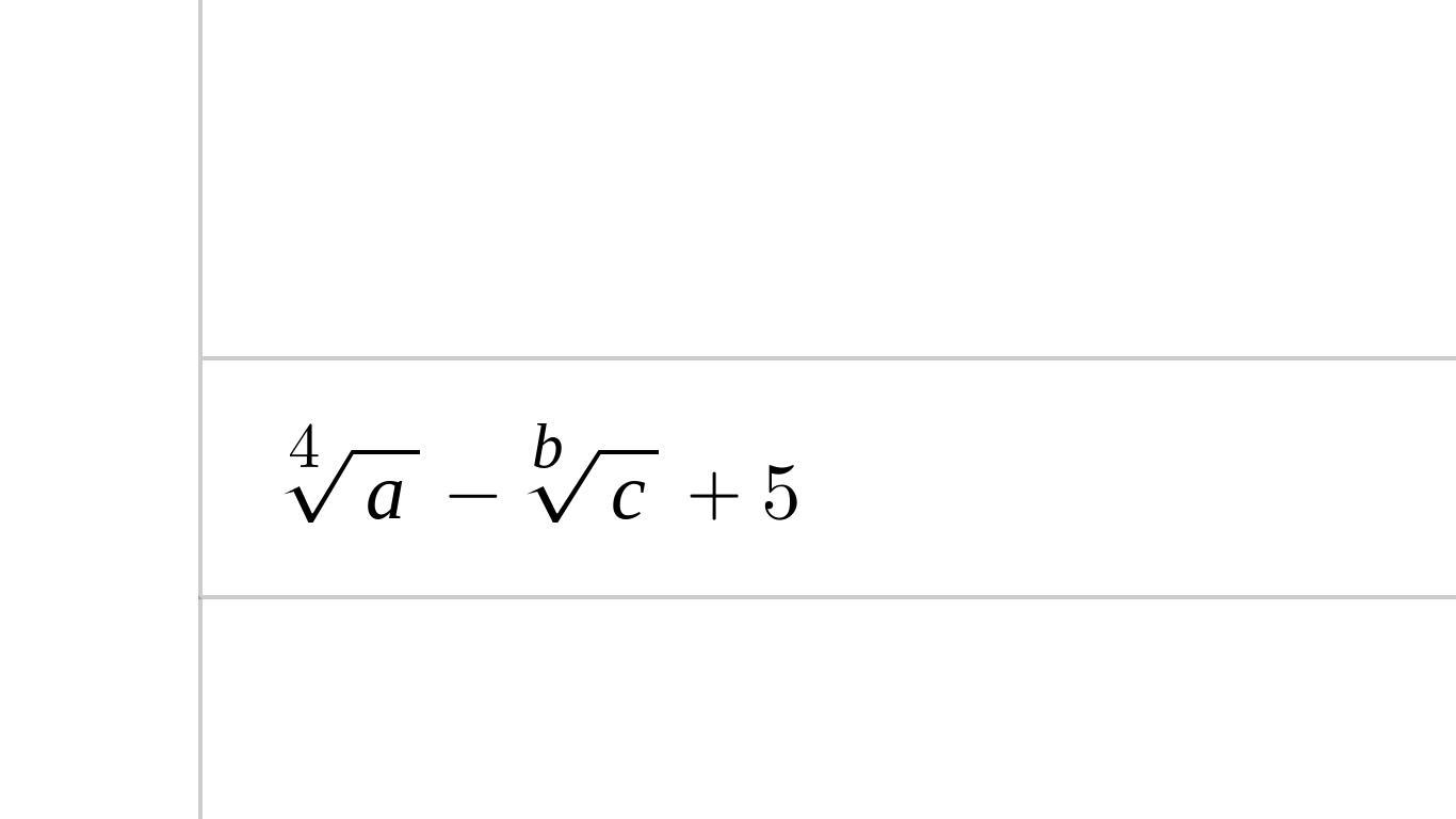
What is the value of this expression when a=9, b=-2, and c=25 ?

Mathematics
1 answer:
VashaNatasha [74]3 years ago
8 0

Answer:

√3 + 24/5 or 6.532

Step-by-step explanation:

I hope this helps.

You might be interested in
Here is an equation: 4x - 4 = 4x + _____. What could you write in the blank so the equation would be True for one value of x.
gogolik [260]

Answer:

-4

Step-by-step explanation:

:)

6 0
3 years ago
Read 2 more answers
Sally is paid a fixed amount of money to walk her neighbor’s dog every day after school. When she is paid each month, she puts a
Ne4ueva [31]

Answer:

118.625

Step-by-step explanation:

Lets clear this up.

M = $65.

6 months = 182.5 days

We may turn 65 into a decimal for a more exact answer.

<h3>65 = 0.65 (changing it to a decimal does not change the value.)</h3>

Now we can do

182.5 x 0.65

= 118.625.

For your homework you could say.

"6 months is 182.5 days, we would need to change 65 into a decimal, which is 0.65 to get a more exact answer. 182.5 x 0.65 = 118.625. Sally will be paid 118.625 in 6 months."

4 0
3 years ago
Read 2 more answers
4x+14+8x-14=180 find for x
k0ka [10]

Answer:

x = 15

Step-by-step explanation:

by solving;

  • 4x + 8x +14 -14 = 180
  • 12x = 180
  • x = 180 / 12
  • x = 15

<em>i</em><em> </em><em>hope</em><em> </em><em>it</em><em> </em><em>helped</em><em>.</em><em>.</em><em>.</em><em>.</em><em>.</em><em>.</em><em>.</em><em> </em><em>^</em><em>_</em><em>^</em>

6 0
3 years ago
Read 2 more answers
jan has a 12-ounce milkshake.Four ounces in the milkshake are vanilla,and the rest is chocolate.What are two equivalent fraction
bagirrra123 [75]

Answer:

In this item, we are given that out of 12 ounces of ingredients comprising the milkshake, there are 4 ounces vanilla. Expressing this into fraction will give us an answer of 4/12. This fraction can be one of the answers. Since we are asked for two fractions, we can simplify 4/12 such that we get an equivalent fraction that is equal to 2/6. Hence, the answers to this question are 4/12 and 2/6.

Step-by-step explanation:

7 0
3 years ago
Plsss helppp! i will give brainliest!!
7nadin3 [17]
It’s option a. The question is a bit tricky because you’re given the image and asked to find the pre image.
6 0
3 years ago
Read 2 more answers
Other questions:
  • To approximate the number of bees in a hive, multiply the number of bees that leave the hive in one minute by 3 and divide by 0.
    8·2 answers
  • During the past year in the maternity ward of a hospital in a large city, 1,252 males were born and 1,413 females. If we can ass
    14·1 answer
  • Rita is on her way home in her car. she has driven 30 miles so far, which is two-thirds of the way home. what is the total lengt
    5·1 answer
  • The sum of a set of values is 84 and the mean is 6. how many values are there?
    10·1 answer
  • the perimeter of a scalene triangle is 14.5 cm. the longest side is twice that of the shortest side. which equation can be used
    8·2 answers
  • Martinez purchased a pair of shoes on a web site. The original price of the shoes was $75. She used a coupon code to receive a 2
    5·2 answers
  • <img src="https://tex.z-dn.net/?f=%5Cfrac%7Bs%7D%7B2%7D" id="TexFormula1" title="\frac{s}{2}" alt="\frac{s}{2}" align="absmiddle
    5·2 answers
  • Prove the segments joining the midpoint of consecutive sides of an isosceles trapezoid form a rhombus.
    14·1 answer
  • What equals 394 in addition
    11·1 answer
  • Please answer this addition problem. <br> What is 485+352?
    6·2 answers
Add answer
Login
Not registered? Fast signup
Signup
Login Signup
Ask question!