Answer:
(0.4578 , 0.5318)
Step-by-step explanation:
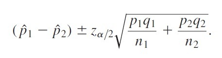
The attached figure shows the formula for calculating confidence intervals for the difference of proportions in large samples.
Let's call
= proportion of married couples, in the first sample, who had two or more personality preferences in common.
= 197/347 = 0.5677

= size of the first random sample

= proportion of married couples, in the second sample, who had no preferences in common.
= 39/535 = 0.0729

= size of the second random sample = 535
= confidence%.
= 80%


Looking in the normal standard table, we have that
= 1.28.
Substituting this values in the formula we have:


Then the confidence interval for p1-p2 is: (0.4578 , 0.5318)