1answer.
Ask question
Login Signup
Ask question
All categories
  • English
  • Mathematics
  • Social Studies
  • Business
  • History
  • Health
  • Geography
  • Biology
  • Physics
  • Chemistry
  • Computers and Technology
  • Arts
  • World Languages
  • Spanish
  • French
  • German
  • Advanced Placement (AP)
  • SAT
  • Medicine
  • Law
  • Engineering
DiKsa [7]
4 years ago
14

Consider how the methods of undetermined coefficients and variation of parameters can be combined to solve the given differentia

l equation. Carry out your ideas to solve the differential equation. y'' − 2y' + y = 4x2 − 6 + x−1ex

Mathematics
2 answers:
irga5000 [103]4 years ago
5 0

Answer:

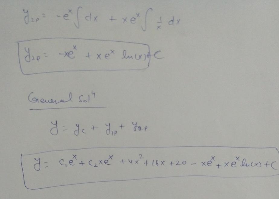
y = -xe^x + xe^x ln(x) +C

See attachment for step by step guide please

kogti [31]4 years ago
5 0

Answer:

Combining the method of undetermined coefficients with the method of variation of parameters, the solution to the differential equation

y'' - 2y' + y = 4x² - 6 + x^(-1)e^x

is

y = (C1 + C2x)e^x + 4x² + 16x + 18 -xe^x + xe^x lnx

Step-by-step explanation:

Given the differential equation:

y'' - 2y' + y = 4x² - 6 + x^(-1)e^x........(1)

Firstly, we solve the homogeneous part of (1)

y'' - 2y' + y = 0

Let the characteristic equation be

m² - 2m + 1 = 0

(m - 1)(m - 1) = 0

m = 1 twice.

The complementary function

y_c = (C1 + C2x)e^x...........................(2)

Now, consider the differential equation:

y'' - 2y' + y = 4x² - 6 ..........................(3)

Solve (3) using the method of UNDETERMINED COEFFICIENTS.

The nonhomogeneous part is 4x² - 6, so we assume a particular solution of the form

y_p = Ax² + Bx + C

y'_p = 2Ax + B

y''_p = 2A

Using these in (3), we have

y''_p - 2y'_p + y_p

= 2A - 2(2Ax + B) + Ax² + Bx + C = 4x² - 6

Ax² + Bx - 4Ax - 2B + 2A + C = 4x² - 6

Comparing the coefficients of various powers of x, we have that

A = 4

B - 4A = 0 => B = 16

2A - 2B + C = -6

=> C = -6 - 8 + 32 = 18

Therefore,

y_p = 4x² + 16x + 18 .....................(4)

Next, consider the differential equation:

y'' - 2y' + y = x^(-1)e^x ....................(3)

We solve using the method of VARIATION OF PARAMETERS.

With g(x) = x^(-1)e^x

Using the complementary solution, we have

y1 = e^x, and y2 = xe^x

Find the Wronskian of y1 and y2.

Let their Wronskian be W, then

W = |y1............y2|

........|y1'...........y2'|

= |e^x.....................xe^x|

...|e^x...........xe^x + e^x|

= xe^(2x) + e^(2x) - xe^(2x)

W = e^(2x)

y_q = Py1 + Qy2

Where P = integral of y2g(t)/W dx

= integral of xe^x.x^(-1)e^x/e^(2x) dx

= -x

Where Q = integral if y1g(t)/W dx

= integral of e^x.x^(-1)e^x/e^(2x) dx

= lnx

y_q = -xe^x + xe^x lnx

Finally, the general solution is

y = y_c + y_p + y_q

= (C1 + C2x)e^x + 4x² + 16x + 18 -xe^x + xe^x lnx

You might be interested in
Determine whether (a) x = -1 or (b) x = 2 is a solution to this equation<br><br> X-8=-9
andrew11 [14]

Answer: (a) x = -1

Step-by-step explanation:

<u>Given</u>

x - 8 = - 9

<u>Add 8 on both sides to isolate x</u>

x - 8 + 8 = - 9 + 8

\boxed{x=-1}

Hope this helps!! :)

Please let me know if you have any questions

8 0
3 years ago
Erick just answered a help-wanted ad. The ad states that the job pays $45K 1 point
Rudiy27

Answer:

Per month salary = $3,750

Step-by-step explanation:

Given:

Annual pay = $45,000

Find:

Per month salary

Computation:

Number of month in a year = 12

Per month salary = Annual pay / Number of month in a year

Per month salary = $45,000 / 12

Per month salary = $3,750

8 0
3 years ago
Given y=4x, write an equation that is shifted up 9 with the slope tripled.
lyudmila [28]

Answer:

y = 12x + 9

Step-by-step explanation:

you triple 4x and just add nine because the y intercept is zero

4 0
3 years ago
Find the slope and the y-intercept of the line in the graph.​
Radda [10]

The slope is 2. The y-intercept is 4.

Explanation:

The line constantly goes up to units for every unit that it goes to the right. The y intercept is 4 because it is 4 on the y-axis when x is 0.

8 0
3 years ago
Read 2 more answers
PLEASE ANSWER URGENT
Ratling [72]

Answer:

13. B

14. 10.4 = x + 2.6

15. 7.8

16. The amount that was already in the pitcher

Step-by-step explanation:

5 0
3 years ago
Read 2 more answers
Other questions:
  • What is the scientific notation of 0.0002077
    6·1 answer
  • Write the standard form of the equation of the circle with its center at (-3,0), and a radius of 6.
    15·2 answers
  • There are 40 nickels in every standard coin roll, what is the constant of proportionality
    7·2 answers
  • ASAP PLEASE HELP!!!! Which graphical display is best used to organize numerical data in ascending order:
    8·2 answers
  • The rectangle below has an area of 12x^4+6x^3+15x^212x 4 +6x 3 +15x 2 12, x, start superscript, 4, end superscript, plus, 6, x,
    7·1 answer
  • What is the solution set for 7x−3=18 , given the replacement set {0, 1, 2, 3, 4} ?
    10·2 answers
  • The length of a rectangle is 2 yards longer than its width. If the perimeter of the rectangle is 64 yards, find its length and w
    5·1 answer
  • (2×/×+3)- (×/×-3)=(3÷3-×)​
    15·1 answer
  • Which angles are not supplementary
    8·1 answer
  • Item C sold half as many times as item D. Altogether, you sold 54 of these items. How many of items C did you sell today? How ma
    6·1 answer
Add answer
Login
Not registered? Fast signup
Signup
Login Signup
Ask question!