Answer:
L=24
Step-by-step explanation:
L'Hopital's Rule for Evaluating Limits:
Rule is that if
takes
or
form, then,

where
and 
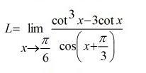
Now coming to the problem,

Here
and 
Substituting
in f(x) and g(x),


Since L takes the form
, using l'hopital's rule

now substituting
,
