1answer.
Ask question
Login Signup
Ask question
All categories
  • English
  • Mathematics
  • Social Studies
  • Business
  • History
  • Health
  • Geography
  • Biology
  • Physics
  • Chemistry
  • Computers and Technology
  • Arts
  • World Languages
  • Spanish
  • French
  • German
  • Advanced Placement (AP)
  • SAT
  • Medicine
  • Law
  • Engineering
Dmitry [639]
3 years ago
8

Two firms produce and sell differentiated products that are substitutes for each other. Their demand curves are Firm​ 1: Upper Q

1Q1 ​= 40minus−3Upper P 1P1​+ Upper P 2P2 Firm​ 2: Upper Q 2Q2 ​= 40minus−3Upper P 2P2​+ Upper P 1P1 Both firms have constant marginal costs of ​$4.604.60 per unit. Both firms set their own price and take their​ competitor's price as fixed. Use the Nash equilibrium concept to determine the equilibrium set of prices. Since the firms are​ identical, they will set the same prices and produce the same quantities. In​ equilibrium, each firm will charge a price of ​$nothing and produce nothing units of output. ​(Enter your responses rounded to two decimal​ places.) Each firm will earn a profit of ​$nothing. ​(Enter your response rounded to two decimal​ places.)

Business
1 answer:
Serjik [45]3 years ago
5 0

Answer:

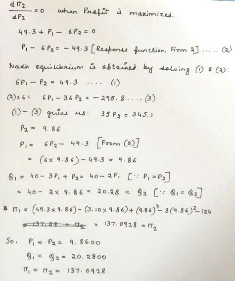
P_1=P_2=9.86\\Q_1=Q_2=20.28\\\pi_1=\pi_2=137.09

Explanation:

Q_1 = 40 - 3p_1 +p_2,     MC_1 = 3.10

TR_1 = P_1 \times Q_1 = 40P_1 - 3P_1^2 + P_1P_2

TC_1 = MC_1 \times Q_1 = 3.10 (40 - 3P_1 + P_2)

= 124 - 9.3P_1 + 3.10P_2

Profit, \pi_1 = TR_1 - TC_1

= 40P_1 - 3P_2^2 + P_1P_2 - 124 + 9.3P_1 - 3.10P_2

49.3P_1 - 3.10P_2 + P_1P_2 - 3P_1^2 - 124

\frac{d\pi}{dP_1} = 0     when profit is maximized

= 49.3 + P_2 - 6P_1 = 0

6P_1 - P_2 = 49.3        [Response Function for firm 1]  ...........(1)

again

B_2 = 40 - 3P_2 + P_1 ,            MC_2 = 3.10

TR_2 = P_2 \times B_2 = 40P_2 - 3P_2^2 +  P_1P_2

TC_2 = MC_2 \times B_2 = 3.10(40 - 3P_2 + P_1)

= 124 - 9.3P_2 + 3.10P_1

\pi_2 =TR_2 - TC_2 = 40P_2 - 3P_2^2 +P_1P_2 - 124 + 9.3P_2 - 3.10P_1

= 49.3P_2 - 3.10P_1 + P_1P_2 - 3P_2^2

check additional details in the attached file

You might be interested in
In the securitization process, mortgages are pooled together and cash flows are packaged into securities to be sold in the secon
Viefleur [7K]

Answer:

conduits

Explanation:

A mortgage-backed security is one in which is similar to bonds but that usually consists of home loans ought from banks that issued them. It is a type asset-backed security which can be sold through brokers.

investment in mortgage-backed assets means the investor is lending out his money to people that intend to get a home.

A mortgage-backed security can be bought directly from banks or through brokers. These brokers are also called conduits.

Cheers

7 0
4 years ago
The selling price per unit less the variable cost per unit is the ________.
OlgaM077 [116]

The selling price per unit less the variable cost per unit is the contribution margin per unit.

<h3>What is the contribution margin per unit.?</h3>

This is the term that is used to refer to the selling price that was used for the sale of a particular good minus the variable cost that was employed in the production of that particular good. It is the contribution that is made towards the payment of the fixed costs.

Hence we can say that The selling price per unit less the variable cost per unit is the contribution margin per unit.

Read more on contribution margin per unit here: brainly.com/question/13528647

#SPJ1

6 0
1 year ago
Your parents want to place money in an account so that you can withdraw $200 a week for the next four years while you finish col
professor190 [17]

Answer:

The answer is: $38,429

Explanation:

You need to withdraw 208 payments (52 weeks x 4 years)

Each payment is $200

Discount interest is 0.0769% (4% yearly interest / 52 weeks)

So the present value of the cash flow is: PV = $38,429

The best way to calculate the PV is to use an excel spreadsheet and the NPV formula:

=PV(0.0769%,L1:L208) where L1 to L208 all equal 200

4 0
4 years ago
Fresnas Corp., a company that designs in its New York headquarters and had manufactured apparel in Malaysia, now practices insho
PIT_PIT [208]

Answer:

it keeps its research team in close proximity

Explanation:

Inshoring refers to the process of moving a business operation from overseas to the country of origin where the headquarters is located. Therefore based on the information provided within the question it can be said that in this scenario Fresnas Corp. keeps its research team in close proximity. Since they are moving every business operation closer to the headquarters thus keeping them close by.

3 0
3 years ago
The largest type of municipal bonds outstanding is ________. Group of answer choices revenue bonds industrial development bonds
Ierofanga [76]

Answer:

revenue bonds

Explanation:

A revenue bond is a Municipal bond used to fund projects that yield income and are secured through a particular source of revenue.

Characteristics of revenue bond.

1. It takes long time to maturity.

2. It yields more returns than the general obligation bond.

The purpose of a revenue bond is so that government can finance projects that generates income such as toll roads, airports, seaports, electricity projects, water projects etc.

6 0
3 years ago
Read 2 more answers
Other questions:
  • Teller Co. is planning to sell 900 boxes of ceramic tile, with production estimated at 870 boxes during May. Each box of tile re
    7·1 answer
  • When preparing the statement of cash flows using the indirect​ method, a decrease in current liabilities is added to the net inc
    6·1 answer
  • Orion Steel is the chief provider of metals to Accline Cars, which manufactures twomodels of vehicles-cars and large buses. Accl
    11·1 answer
  • Ron,a new associate at Barkley and Sons,is working to cultivate personal relationships with individuals outside of his departmen
    9·1 answer
  • Which of the following data is used to determine credit scores?
    13·2 answers
  • Last year you forgot to pay a total of three department store monthly statements. Two of the three charged you a $35 fee for thi
    12·1 answer
  • The accounts below all have normal balances.
    8·1 answer
  • LGIPs offered by municipal broker-dealers are: A investment vehicles available to the general public that permit tax-deferred sa
    9·1 answer
  • The management of an SBU is addressing the issue of whether through investment and a new
    12·1 answer
  • If Anna buys a car for $18,000 with a down payment of $2,000 and is given a 3-year loan with an APR of 5 percent and monthly pay
    14·1 answer
Add answer
Login
Not registered? Fast signup
Signup
Login Signup
Ask question!