Answer:what grade is this?
Step-by-step explanation:
Answer:
OPTION C
Step-by-step explanation:
We have the following rules:
and

OPTION A: ![$ x \sqrt[7]{x} $](https://tex.z-dn.net/?f=%24%20x%20%5Csqrt%5B7%5D%7Bx%7D%20%24)
= 
= 

So, it can be eliminated.
OPTION B: ![$ \bigg ( \frac{1}{\sqrt[7]{x}} \bigg )^9 $](https://tex.z-dn.net/?f=%24%20%5Cbigg%20%28%20%5Cfrac%7B1%7D%7B%5Csqrt%5B7%5D%7Bx%7D%7D%20%5Cbigg%20%29%5E9%20%24)
= 
= 
= 
So, this option is also eliminated.
OPTION C: ![$ x . \sqrt[7]{x} $](https://tex.z-dn.net/?f=%24%20x%20.%20%5Csqrt%5B7%5D%7Bx%7D%20%24)
= 
= 
= 
So, OPTION C is the answer.
Answer:
distance formula=
= find the length(units) using coordinates.
slope formula=
= determines slope of a line using two points on the line(coordinates)
When working with polygons the main properties which are important are:
The number of sides of the shape.
The angles between the sides of the shape.
The length of the sides of the shape.
length , width
straight lines , angles, vertices, vertex
A polygon is any 2-dimensional shape formed with straight lines.
a plane figure with at least three straight sides and angles, and typically five or more.
Step-by-step explanation:
<h2><u>
answer= use distance and slope to determine that opposite side of a polygon are the same length and same slope</u></h2>
Answer:
X = -6.372281, -5.561553, -1.438447, -0.627719
Step-by-step explanation:
Use quartic formula.
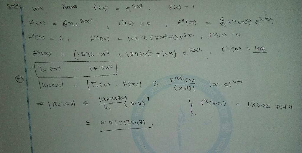
Answer:
Step-by-step explanation:
Not sure