Answer:
-3x² - 10x - 16 r. 
Step-by-step explanation:
You can easily do this through synthetic division:
First step is to get all the numeric coefficients of the expression and write them down. Don't forget to bring their signs along with them.
-3x³ - 4x² + 4x +3
| -3 -4 +4 +3
|______________
Next we find the root that is associated with the divisor:
x - 2 = 0
x = 2
We use this and put it outside:
2 | -3 -4 +4 +3
|______________
Okay now we bring down the first coefficient:
2 | -3 -4 +4 +3
|______________
-3
Then we multiply it by the root and put the product under the next coefficient:
2 x - 3 = -6
2 | -3 -4 +4 +3
|<u> -6 </u>
-3
Then we add them:
2 | -3 -4 +4 +3
|<u> -6 </u>
-3 -10
Do the same steps until the end:
2 | -3 -4 +4 +3
|<u> -6 -20 -32 </u>
-3 -10 -16 -29
Now that you have that, remember that since the divisor is in the 1st degree, quotient will have a degree will be one degree below as well.
-3x² - 10x - 26
Your last coefficient is going to be your remainder:
-3x² - 10x - 16 r. 
Answer:
391
Step-by-step explanation:
(23 x 10) + (23 x 7) =
230 + 161 =
391
Hope this helps! Please mark as brainliest.
Answer:
102 mg
Step-by-step explanation:
Let's convert 28 pounds to kgs.
Since 1 kg = 2.2 pounds, we can find:

So 28 pounds is 12.73 Kg
Since 8mg is given per kg, for 12.73 kg, the amount given should be:
12.73 * 8 = 101.84
Rounded to nearest whole number, that is, 102 mg
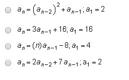
When we substitute
, we get...

Comparing the given sequence: 24, 88, 664, 8408, we get

We need to substitute the above values in each option and check which is TRUE.
----
<u>Option A</u>

<u>Option B</u>

<u>Option C</u>

<u>Option D</u>

Conclusion:
Option A is the correct answer.