1answer.
Ask question
Login Signup
Ask question
All categories
  • English
  • Mathematics
  • Social Studies
  • Business
  • History
  • Health
  • Geography
  • Biology
  • Physics
  • Chemistry
  • Computers and Technology
  • Arts
  • World Languages
  • Spanish
  • French
  • German
  • Advanced Placement (AP)
  • SAT
  • Medicine
  • Law
  • Engineering
myrzilka [38]
3 years ago
5

Robots with telescoping arms are sometimes used to perform tasks (e.g., welding or placing screws) where access may be difficult

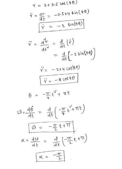
for other robotic types. During a test run, a robot arm is programmed to extend according to the relationship r = 3 + 0.5cos(4θ) and the arm rotates according to the relationship θ=−π4t2+πt , where r is in feet, θ is in radians, and t is in seconds. Use a computer program to plot the path of tip A in x and y coordinates for 0 ≤ t ≤ 4s.

Computers and Technology
1 answer:
aev [14]3 years ago
6 0

Answer:

A code was used to plot the path of of tip A in x and y coordinates for 0 ≤ t ≤ 4s. and the velocity V = 1.25π = 3.925 m/s for acceleration = 4.33 m/s

Solution

Given that:

(a) r = 3 ++ 0.5cos(4θ)

r = dr/dt = - 0.5 xy sin(4θ)

r = - 2 sin (4θ)

(b) t=0:0.01:3;

theta=-(.*t.^2/4)+(π.*t);

r=3+0.5.*cos(4.*theta);

x=r.*cos(theta);

y=r.*sin(theta);

plot(t,x,t,y)

xlabel('time')

ylabel('x & Y')

legend('X','Y')

Note: Kindly find an attached work solution for option A below, with the full complete question to this exercise.

Complete question: Robots with telescoping arms are sometimes used to perform tasks (e.g., welding or placing screws) where access may be difficult for other robotic types. During a test run, a robot arm is programmed to extend according to the relationship r = 3 + 0.5cos(4θ) and the arm rotates according to the relationship θ=−π4t2+πt ,where r is in feet, θ is in radians, and t is in seconds. (a) Determine the velocity and acceleration of the robot tip A at t = 3 s.(b) Use a computer program to plot the path of tip A in x and y coordinates for 0 ≤ t ≤ 4s.

You might be interested in
What is SoC? how is it different from CPU?
slamgirl [31]

Answer:

SoC usually contains a GPU

Explanation:

Where as a CPU cannot function without dozens of other chips

6 0
3 years ago
System analysis and design
Oksana_A [137]

Answer:

teachers go hard on you dont they

Explanation:

5 0
4 years ago
Programmers employ the acronym ____ to mean that if your input is incorrect, your output is worthless.
Nataly [62]
The answer is GIGO or the garbage in, garbage out. It is an idea regular to software engineering and science: the nature of yield is dictated by the nature of the information. In this way, for instance, if a scientific condition is disgracefully expressed, the appropriate response is probably not going to be right. It has a tendency to be utilized when discussing information section and databases. Essentially it implies that in the event that you enter off base or wrong information then you have truly entered waste.
8 0
3 years ago
Variables used for input are associated with what controls on a form ?​
zalisa [80]

Answer:

The answer to this question is given below in the explanation section

Explanation:

There are different forms control. for example HTML form controls are:

  • Text Input Controls.
  • Checkboxes Controls.
  • Radio Box Controls.
  • Select Box Controls.
  • File Select boxes.
  • Hidden Controls.
  • Clickable Buttons.
  • Submit and Reset Button.

to take input from the user and store it into the variable, mostly text input form control is used.

however, you can also use text input, checkbox, radio button as a control to take input from the user and store the input value in some variables.

5 0
3 years ago
5. What would the browser display if the following code were executed in a script?a var product = 0; while ( product <= 25 );
irga5000 [103]

Answer:

An infinite-loop

Explanation:

This is because the condition is always true ie: product is always less than 25. And once there is no sentinel to stop the loop it will run forever.

7 0
3 years ago
Other questions:
  • Bianca is preparing special dishes for her daughter’s birthday. It takes her a minutes to prepare the first dish, and each follo
    11·1 answer
  • Consider a simple application level protocol built on top of udp that allows a client to retrieve a file from a remote server re
    15·2 answers
  • The original U.S. income tax of 1913 was quite simple. The tax was
    10·1 answer
  • The type of business organization that can continue indefinitely is known as a
    11·1 answer
  • What is the advantage of using the clipboard task pane?
    7·1 answer
  • Create a script that will find the sum of the all multiples of 3 between 1 and 1000 by using For Loop. (Pseudo Code required) 3.
    7·1 answer
  • Before you give your presentation to an audience, you should make sure that your ideas are organized in a clear and meaningful w
    8·2 answers
  • In many DBMSs where no strict separation of levels is maintained, this one language is used by the DBA and database designers to
    13·1 answer
  • You construct a simple electrical current to boil water for tea. A battery generates positive and negative charges. A wire conne
    13·1 answer
  • Prompt
    13·1 answer
Add answer
Login
Not registered? Fast signup
Signup
Login Signup
Ask question!