1answer.
Ask question
Login Signup
Ask question
All categories
  • English
  • Mathematics
  • Social Studies
  • Business
  • History
  • Health
  • Geography
  • Biology
  • Physics
  • Chemistry
  • Computers and Technology
  • Arts
  • World Languages
  • Spanish
  • French
  • German
  • Advanced Placement (AP)
  • SAT
  • Medicine
  • Law
  • Engineering
asambeis [7]
3 years ago
9

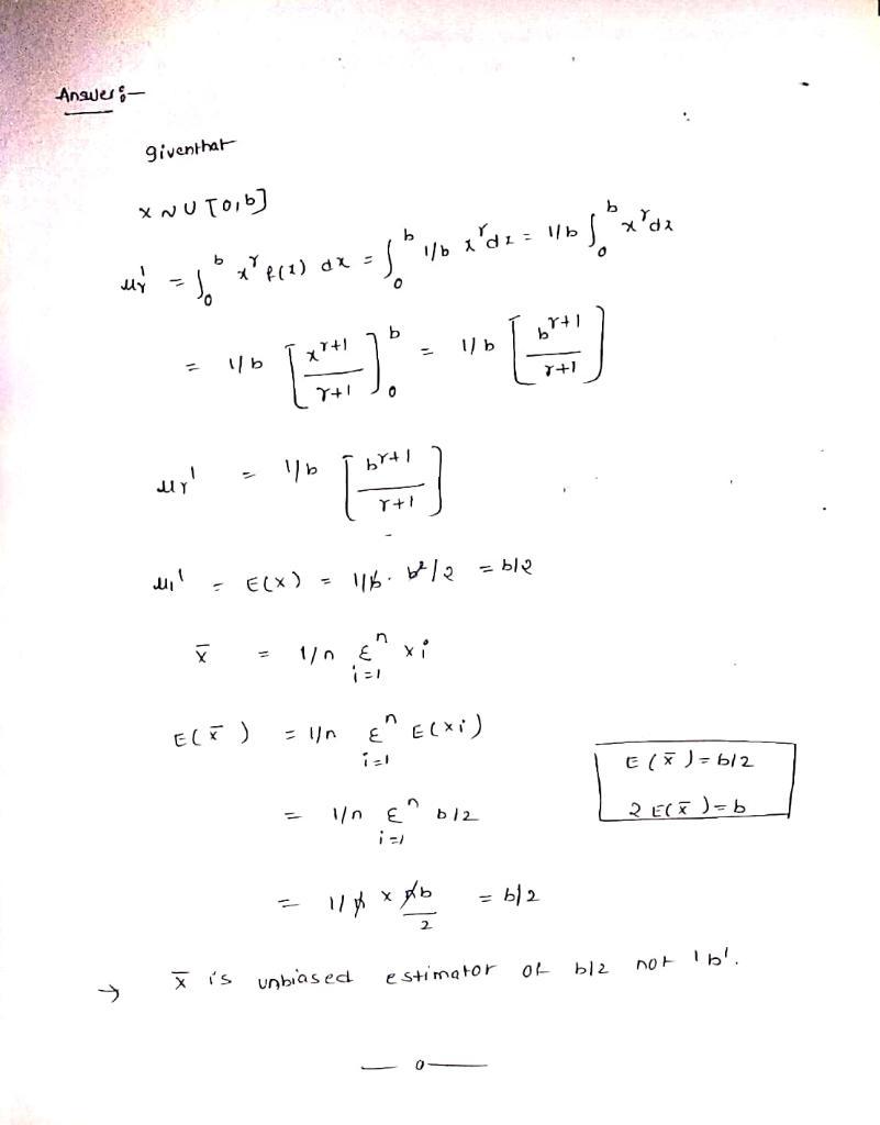
Let Xi be a random variable from a uniform distribution on the interval [0,b]. Thus the lower bound is known but not the upper b

ound. You observe n many independent and identically distributed Xi ’s. What is the expected value of the sample mean X¯ = 1 n Pn i=1 Xi? How could you transform X¯ to make it an unbiased estimator of b (that is to say the expectation of the estimator is equal to b)

Mathematics
1 answer:
Assoli18 [71]3 years ago
6 0

Answer:

Step-by-step explanation:

Check the attached file below for the solution to the given problem

I hope it is OK.

You might be interested in
You have $75 and need to buy 9 books at the bookstore and each book costs d dollars. ​Write an algebraic expression to represent
Volgvan

Answer:

y = 75 - 9d

Step-by-step explanation:

y = amount of $ left

4 0
3 years ago
What is your average speed in miles per hour and in feet per second if you travel a mile in 16 ​minutes?
Arte-miy333 [17]

Step-by-step explanation:

Mile Per Hour to Foot Per Second Conversion Table

Miles Per Hour Feet Per Second

16 mph 23.47 ft/s

17 mph 24.93 ft/s

18 mph 26.4 ft/s

19 mph 27.87 ft/s

4 0
3 years ago
NEED HELP! Will give brainliest!!! Answer number 18 and 19
Zanzabum

18. 3 (-5 + 1) = 6 x -3 = -18 false its -14

19. 1/2 x 2 + 1/4 x 12 = 8 false its 4

7 0
3 years ago
Use x = 1 to identify the value of each expression.
timofeeve [1]
1; 0; and for the last one x^3 x=cubic root of 3
7 0
3 years ago
What is the value of x?
rodikova [14]
The value could be rewritten as 2(x+4)
3 0
3 years ago
Read 2 more answers
Other questions:
  • Two parallel lines are cut by a transversal. Which scenario below is NOT a possible<br> result?
    15·1 answer
  • Miriam ahorró durante toda la semana $14.00.El sabado se gasto 1/7 de esa cantidad y el domingo 5/8, ¿Que cantidad gastó en tota
    9·1 answer
  • To help you just Incase you need it
    7·1 answer
  • Which of the following represents a function? OA X -5-1 9 8 -1 y 1 7 23 17 1 B. y NS x -4 NO 4 C. {(0,1),(3,2), (-8,3), (-7,2),
    12·1 answer
  • May someone please help me?
    11·1 answer
  • The angles represented by the expressions (2x+46) and (3x-6) are complementary angles. find the measure of the larger angle. Im
    6·1 answer
  • Tomas rides his bike at a steady rate of 4 miles every 6 minutes
    15·1 answer
  • The square of thrice a number a, take away double a second number b
    5·2 answers
  • The price of an item has risen to $343 today. Yesterday it was $140. Find the percentage increase.
    9·1 answer
  • The perimeter of a rectangle is 168 m. Its length is five times its width. Find the length and width.
    5·2 answers
Add answer
Login
Not registered? Fast signup
Signup
Login Signup
Ask question!