1answer.
Ask question
Login Signup
Ask question
All categories
  • English
  • Mathematics
  • Social Studies
  • Business
  • History
  • Health
  • Geography
  • Biology
  • Physics
  • Chemistry
  • Computers and Technology
  • Arts
  • World Languages
  • Spanish
  • French
  • German
  • Advanced Placement (AP)
  • SAT
  • Medicine
  • Law
  • Engineering
larisa86 [58]
3 years ago
10

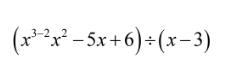
How do I solve this using long polynomial division?

Advanced Placement (AP)
1 answer:
azamat3 years ago
5 0

answer and the explanation is on the picture.

hope it helps.

You might be interested in
Explain ONE specific example of religious syncretism other than Vodou that
Dmitry_Shevchenko [17]
Santeria

a pantheistic Afro-Cuban folk religion developed from the beliefs and customs of the Yoruba people and incorporating some elements of the Catholic religion.
5 0
3 years ago
Which of the following is NOT true of how computers represent complex information?
KonstantinChe [14]

Answer:

The answer is B

Explanation:

Because Abstraction simplifies things by hiding complexity. Abstarction doesn't surface complexity instead it hides it.  I hope this helps.

8 0
4 years ago
What are the stimulus and austerity strategies
andreyandreev [35.5K]
<span>Stimulus strategy is the increasing of  monetary expenses to kick start economic growth during recession which can be accomplished by the government by lowering interest rates, increasing government spending and quantitative easing. While the Austerity strategy is the reduction of government expenses to balance the budget through spending cuts, tax increases, or both.</span>
4 0
3 years ago
1. Which of the following describes the practice of shopping for clothes in thrift stores?
Salsk061 [2.6K]
1. b
2. e
3. a
4. c
5. d
6. a
7. e
8. b
9. e
10. b
3 0
4 years ago
Read 2 more answers
8. Some mutations can help an organism survive<br> True or false
Sloan [31]

Answer: True

Explanation: A mutation can help an organism survive in a particular environment. A mutation is a change in the nucleotide sequence of an organism. A mutation can be of three types - beneficial, harmful or neutral. A mutation is considered to be beneficial when it produces a variation that helps the organism to better adapt to its environment.

5 0
3 years ago
Other questions:
  • A 3/b=c solve for chow would i solve this to get c?
    11·1 answer
  • A jet is moving horizontally with a constant velocity of 305 m/s at an altitude of 730m. It drops its payload.
    12·1 answer
  • A new moon would be directly overhead at what time
    10·1 answer
  • Backing a vehicle requires skillful use of the ____.
    13·2 answers
  • How many meters do you cover in a 10 km (10-K) race?
    9·2 answers
  • How many points do I Need to message someone? A LOT OF POINTS!!!
    13·2 answers
  • Today I met the 2 most amazing on brainly! One had gone through a rough time and it was great helping her! I helped the other on
    9·1 answer
  • Dog toys, when a dog chews on plastic or rubber dog toys does it cause cancer?
    6·2 answers
  • Humans beings are sacrificed in hinduism,juidaism and islam during special ceremonies
    7·1 answer
  • An environmental agency wants to evaluate the effectiveness of rain gardens in reducing the impact of urban runoff from a
    5·1 answer
Add answer
Login
Not registered? Fast signup
Signup
Login Signup
Ask question!