for the first one it is the second option because of one property of logarithms:
log(a)-log(b)=log
for the second one using the same property we can say that we third option is correct and not the second one but we use one more property of the logarithm
loga(b)^x=xloga(b) the power of the logarithm becomes a fator and
is equal to 
Hay mate!!!
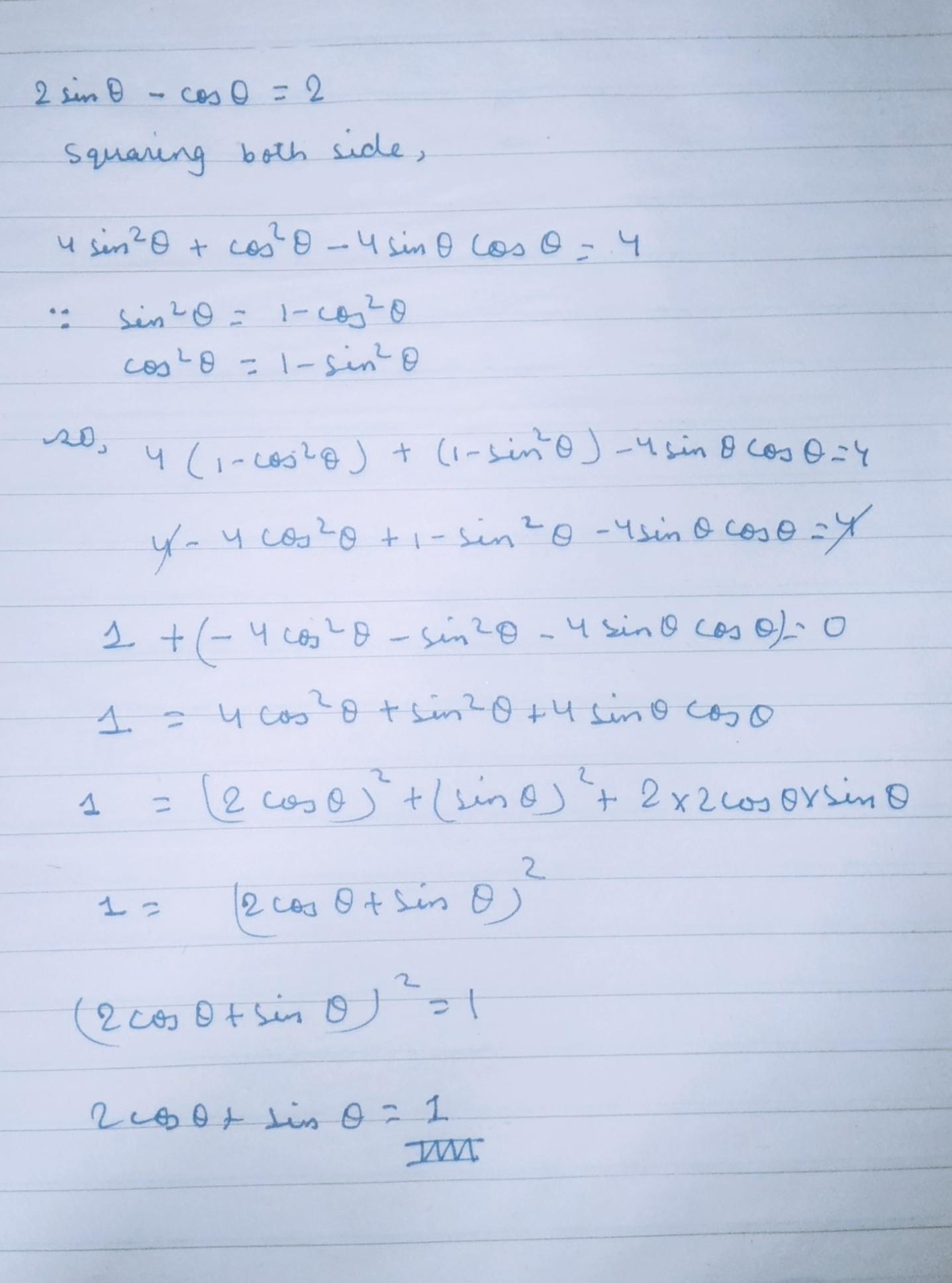
please see the attachment...
A. The vertex translated right 3 units and down 2 units while the graph was stretched by a ratio of ¼.
1st Page:
1. 90 and 9
2. 200 and 20
3. 500 and 50
4. 80 and 8
5. 3000 and 300
6. 9000 and 900
7. 8000 and 800
8. 60 and 6
9. 100, 10, and 1
10. 4000, 400, and 40
11. 700, 70, and 7
12. 5000, 500, and 50
13. The first six is in the 600th place and the second six is in the 60th place
14. The first four is in the 4000th place and the second four is in the 400th place
15. When the same two digits are next to each other in a multi-digit number, it doesn't mean that they are both in the same place value spot. For example, the number of 4,456 has two fours in it. But the first four is in the 4000th place and the second is in the 400th place.
16. B
2nd Page:
1. 40 and 4
2. 9000 and 900
3. The first five is in the 50th place (or the 10s place) and the second five is in the 5th place (or the 1s place)
4. The first eight is in the 8000th place (or the 1000s place) and the second eight is in the 800ths place (or the 100s place)
5. Yes, that is correct. The first seven is in the 100th place and the second seven is in the 10th place. 100 is ten times more than 10.
6. No, the only difference in the two numbers is the numbers following the two first sixes.
This took me so long pleaseeeeee give me a lot of points or the bainliest for this
The total cost of the entire order which includes ticket, shipping fee and handling fee is $135.50
What is the total cost of 6 persons attending the game?
The total cost to the 6 of them is the total cost of tickets for 6 persons plus handling and the shipping fees for the entire order of 6 tickets
Total ticket cost=6*$20
total ticket cost=$120
Total handling fee=6*$2
Total handling fee=$12
Shipping for the entire order=$3.50
Total cost=$120+$12+$3.50
Total cost of entire order=$135.50
Find out more about total cost on:brainly.com/question/7225231
#SPJ1