1answer.
Ask question
Login Signup
Ask question
All categories
  • English
  • Mathematics
  • Social Studies
  • Business
  • History
  • Health
  • Geography
  • Biology
  • Physics
  • Chemistry
  • Computers and Technology
  • Arts
  • World Languages
  • Spanish
  • French
  • German
  • Advanced Placement (AP)
  • SAT
  • Medicine
  • Law
  • Engineering
kondor19780726 [428]
3 years ago
6

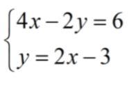
How many solutions does this system of equations have?

Mathematics
1 answer:
Phoenix [80]3 years ago
8 0
<h3>Answer: D) infinitely many solutions</h3>

===================================================

Explanation:

Let's solve the first equation for y

4x - 2y = 6

4x-6 = 2y

2y = 4x-6

y = (4x-6)/2

y = (4x/2) - (6/2)

y = 2x - 3

After doing so, we see that 4x-2y = 6 is equivalent to y = 2x-3

Therefore, the original system of equations is effectively listing the same equation twice (one has a different form compared to the other).

Both equations in this system produce the same graph, which leads to infinitely many solutions. All solutions are on the line y = 2x-3.

You can say that all solutions are in the form (x, 2x-3) where x is any real number you want.

-------------------------------

Here's another approach using substitution

4x - 2y = 6 ... start with the first equation

4x - 2( y ) = 6

4x - 2( 2x-3 ) = 6 .... replace y with 2x-3; ie plug in y = 2x-3

4x - 2(2x) - 2(-3) = 6

4x - 4x + 6 = 6

0x + 6 = 6

0 + 6 = 6

6 = 6

We get a true statement. The last equation is always true regardless of what we plug in for x, so this is another way to see how we get to infinitely many solutions.

Side note: the system is considered dependent since one equation depends on the other. The system is also consistent since it has at least one solution.

You might be interested in
The population of a city has decreased by 33% since it was last measured. If the current population is 20,100, what was the prev
iren [92.7K]
The answer is 30,000
20,100 / 0.67 = 30,000
5 0
2 years ago
The depth y (in inches) of a lake after x years is represented by the equation y=0.2x+42 . How much does the depth of the lake i
blagie [28]

Answer:

<h2><em><u> 42.8 in</u></em></h2>

Step-by-step explanation:

Step one:

given data

we are told that the expression for the depth of a lake after x years is given by

y=0.2x+42

Required

The value of y when x= 4

Step two:

substitute the value of x in the expression to get y

y=0.2(4)+42\\\\y=0.8+42\\\\y=42.8\\\\

<em><u>After 4 years the depth will increase by 42.8 in</u></em>

7 0
3 years ago
Suppose you inherited $277117 and invested it at 8.25% per year. Accordingly, how much could you withdraw at the beginning of ea
Wewaii [24]
According to my calculations the answer is 69
7 0
3 years ago
The y-value is two more than three times the x-value
Nimfa-mama [501]
The strategy for these is to look at what these problems are telling you.

It says the y-value, so you know that this is a y = equation.

y = what? 

y = 2 more than. 4 is two more than 2, right? So saying it's more than is another way of saying "y is 2 + blah blah."

So y = 2 + what? Three times the x-value. What does that mean? 3*X = 3X.

Thus we arrive at the final answer, y = 3x + 2
8 0
3 years ago
Im not sure if this is correct, pls help ! this test is timed !!
saw5 [17]

Answer:

im sorry but there is just a black screen

Step-by-step explanation:

3 0
3 years ago
Other questions:
  • Question 28: Please help, which pairs of angles could she have used?
    13·1 answer
  • Suppose that the quarterly sales levels among health care information systems companies are approximately normally distributed w
    15·1 answer
  • Which expression is even for all integers a and b?
    6·2 answers
  • Please help me, I have to do show work. thank you
    8·1 answer
  • The sum of -15/32 and 7/32 is ___.<br> A. 1/4<br> B. -1/4<br> C. -11/16<br> D. -1/8
    14·2 answers
  • Please solve this #33
    14·1 answer
  • A cargo ship left port A and is headed across the ocean to shipping port B. After one month, the ship stopped at a refueling sta
    14·2 answers
  • What is the area of this figure? Enter your answer in the box.​
    5·2 answers
  • What is<br><br> -2/3<br> -<br> 5/6<br><br> ?<br> Math/honors math/ Mathematics
    11·2 answers
  • Find the measure of angle B.​
    9·1 answer
Add answer
Login
Not registered? Fast signup
Signup
Login Signup
Ask question!