1answer.
Ask question
Login Signup
Ask question
All categories
  • English
  • Mathematics
  • Social Studies
  • Business
  • History
  • Health
  • Geography
  • Biology
  • Physics
  • Chemistry
  • Computers and Technology
  • Arts
  • World Languages
  • Spanish
  • French
  • German
  • Advanced Placement (AP)
  • SAT
  • Medicine
  • Law
  • Engineering
zaharov [31]
3 years ago
15

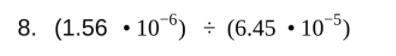
Convert the number into a scientific notation

Mathematics
1 answer:
lilavasa [31]3 years ago
6 0
2.41860465•10^-2


how to solve:
You might be interested in
Find the unit rate: 5 bags of Hot Cheetos cost $4.32.
Alekssandra [29.7K]
$.86 (or more specifically .864)
basically just divide 4.32 by 5 :)
4 0
3 years ago
HOMEWORK HELP NEED TO KNOW
Thepotemich [5.8K]
5 is b because 3/6 is equivalent to 1/2
6 is a because 1/6 is less than half
5 0
4 years ago
Read 2 more answers
An investment of $1,800 in the stock market earned $270 in three years. Find the simple interest rate
DaniilM [7]

Answer:6 i think

Step-by-step explanation:

4 0
3 years ago
Ruchi measured the area of her kitchen as 2.81 times 10 Superscript 4 square units. When she recorded the area, she wrote 2.81 t
yanalaym [24]

Answer:

The following statement is true:

She is incorrect because 2.81 times 10^4 is around 30,000 so the units must be smaller than feet. She most likely measured in inches.

Step-by-step explanation:

Area of the kitchen measured = 2.81 · 10⁴ = 28100

Lets evaluate all the statements

<h3>1) She is correct because dimensions of rooms must always be measured in feet and area would be square feet.</h3>

This statement is WRONG because if the dimension were measured in feet, the total area of the kitchen would be 28100 ft², which is too large of a kitchen. 28100 ft² can easily fit 10 medium sized full house of 2800 ft² or even a big building.

<h3>2) She is correct because 2.81 times 10^4 ft squared is equivalent to 2, 810 ft squared, which is an average size for a kitchen since area is always so much more than length</h3>

This statement is wrong because 2.81 ft· 10⁴ft = 28100 ft² NOT 2810 ft².

28100 ft² cannot be the size of the kitchen as discussed before.

<h3 /><h3>3) She is incorrect because 2.81 times 10^4 is around 30,000 so the units must be smaller than feet. She most likely measured in inches.</h3>

The statement is CORRECT because 2.81 in· 10⁴in = 28100 in² ≅ 30000 in² = 208 ft² , which can easily be the size of a kitchen.

<h3 /><h3>4) She is incorrect because 2.81 is a small number. She probably measured in yards to arrive at such a small value.</h3>

The number she calculated was not 2.81, it was 2.81 · 10⁴, which in yards become a very large value for a kitchen

3 0
3 years ago
Read 2 more answers
Write each number in expanded form one
andreev551 [17]
We need the numbers but here's an example.

Expanded form is:

100+20+4
So if you do it in simple form it's 124. Because there's 100, 20, and 4.
8 0
3 years ago
Other questions:
  • A situation may not be described by more than one sample space.
    14·1 answer
  • How many leaves are there if you have 9 clovers?
    10·2 answers
  • Luke saves 10p coins and 20p coins he has 3 times as many 10p coins as 20p coins a total of 17 pounds how 10p coins does he have
    9·2 answers
  • If F(x) = 4x + 7, which of the following is the inverse of Fx)?
    12·2 answers
  • Equilateral scalene or isosceles?
    7·2 answers
  • The mean throwing distance of a football for a Marco, a high school freshman quarterback, is 40 yards, with a standard deviation
    9·1 answer
  • Sidewalk chalk comes in a pack of 24 for $2.59 Bruce takes $20 to the store and purchases as many packs of sidewalk chalk as he
    7·1 answer
  • Help me please. Very much appreciated​
    13·1 answer
  • Gabe purchased a razor for $9.99, a refill pack of razor blades forthe
    7·1 answer
  • MATH if someone can please help that would be amazing thank you!
    8·1 answer
Add answer
Login
Not registered? Fast signup
Signup
Login Signup
Ask question!