1answer.
Ask question
Login Signup
Ask question
All categories
  • English
  • Mathematics
  • Social Studies
  • Business
  • History
  • Health
  • Geography
  • Biology
  • Physics
  • Chemistry
  • Computers and Technology
  • Arts
  • World Languages
  • Spanish
  • French
  • German
  • Advanced Placement (AP)
  • SAT
  • Medicine
  • Law
  • Engineering
Degger [83]
3 years ago
8

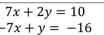
Solve each linear system by Elimination

Mathematics
1 answer:
otez555 [7]3 years ago
5 0
That’s what I think the answer is, I need to know the answer key

You might be interested in
Express the rational number as a terminating or repeating decimal number
tresset_1 [31]
A & d are the same, but i think it’s that
5 0
3 years ago
Help me this is due in 2 minutessss​
antiseptic1488 [7]

Answer:

the answer is -23-3x

8 0
4 years ago
Read 2 more answers
A kite was broken into two triangles.
mote1985 [20]

Answer:

8 ft

Step-by-step explanation:

if the hight is 16 and is broken in half divide by 2 to get your answer

16/2=8ft

5 0
4 years ago
Read 2 more answers
Give me 3 equivalent fractions for 10/30
Elis [28]

Answer:

1/3, 100/300, 20/60

Step-by-step explanation:

Just multiply or divide the numerator and denominator with the same number.

Hope this helps you :)

6 0
3 years ago
Shorter leg of a right triangle is eight list in the hypotenuse. The longer leg is one less than a hypotenuse find the perimeter
devlian [24]
0.43 no leg tip sorry can’t help an a mood
8 0
3 years ago
Other questions:
  • What is the y-intercept of the line that passes through the points (-3,8) and (1,6)? Convert the answer to a decimal, if necessa
    13·2 answers
  • Lionel plays trumpet for a minimum of 45 minutes on the days that he practices. If x is the number of days that Lionel practices
    8·2 answers
  • Amelia decided to order breadsticks and a pizza.
    6·2 answers
  • F(x) can be read as which of the following<br> The function of x<br> F times x<br> Y
    11·1 answer
  • -5x+35=40<br><br> It's 2-step-equations btw :)
    9·1 answer
  • Do 3 questions please 30 points!!!!!!
    9·1 answer
  • Help me calculate the perimeter of this shape
    6·2 answers
  • A system of equations is graphed below.<br> Which point represents the solution to this system?
    15·1 answer
  • The map shows the location of four places in a city.
    10·1 answer
  • Fiona finds that the distance between two cities is 83,400,000 millimeters. What is the distance between the two cities in kilom
    15·1 answer
Add answer
Login
Not registered? Fast signup
Signup
Login Signup
Ask question!