Greetings again.
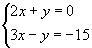
The answer is (-3,6)
Explanation:
As explained in the your previous question about eliminating the term.
We can either eliminate x-term or y-term to find/solve another term first. But It's easier to eliminate the term without multiplying to make both terms the same.
By adding/subtracting vertically for two equations. We get that the adding y and -y makes them 0.
Therefore, we eliminate y-term to solve x first.

I explained about adding/subtracting vertically.
Basically, 2x+3x = 5x
y - y = 0
0 - 15 = -15
That's how to get 5x = -15

Because it is the system of two linear equations. We need to find the y-term too.
Therefore, substitute x = -3 in any given equations. I suggest you to substitute x = -3 in the equation with less coefficient value.
So I'll substitute x = -3 in 2x+y = 0 instead because the first equation has less coefficient than the second equation.

Substitute x = -3 in the equation.

Therefore, when x = -3, y = 6. Since you want the answer as an ordered pair. The answer is (-3,6)