Answer:
(a) Domain: All real numbers except -2
(b) 
Step-by-step explanation:
Given
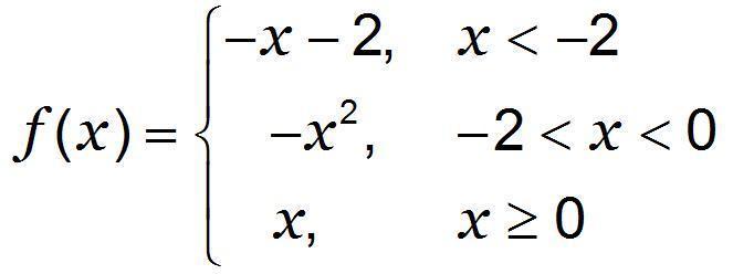
See attachment for f(x)
Solving (a): The domain
From the attached image, we have:



To get the domain, we consider the inequalities attached to each of the piece-wise function

This implies that the values of x is less than -2 i.e.


This implies that x is greater than -2 and less than 0 i.e.


This implies that x is greater than or equal to 0 i.e.

If these values of x are merged, we have:


-2 is not included in the above values of x.
Solving (b): The range
From the attached image, we have:



Substitute the greatest value of x in each piece-wise function.


So;



So:



So;

We have:



The smallest value of f(x) is -4
Hence, the range is:
