1answer.
Ask question
Login Signup
Ask question
All categories
  • English
  • Mathematics
  • Social Studies
  • Business
  • History
  • Health
  • Geography
  • Biology
  • Physics
  • Chemistry
  • Computers and Technology
  • Arts
  • World Languages
  • Spanish
  • French
  • German
  • Advanced Placement (AP)
  • SAT
  • Medicine
  • Law
  • Engineering
skad [1K]
4 years ago
15

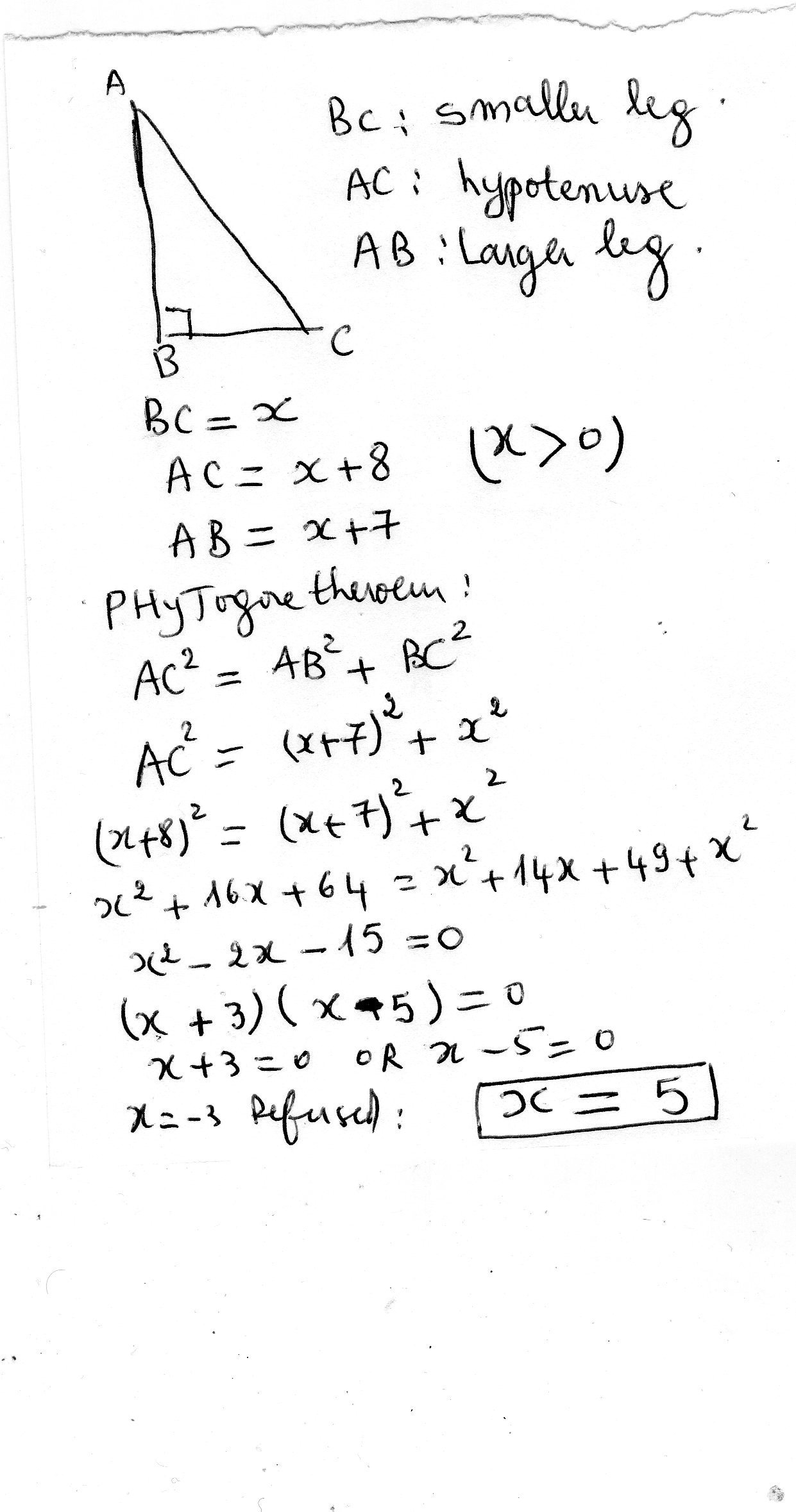
the larger leg of a right triangle is 7cm longer than it's smaller leg the hypotenuse is 8cm longer than the smaller leg how man

y centimeters ling is the smaller leg??

Mathematics
1 answer:
Whitepunk [10]4 years ago
7 0
Hello here is a solution :

You might be interested in
HELPPPPPPPPPPPPPPPPPPPPPPPPPPPPPPPPPPPPPPPPPPPPPPPPPPPPPPPPPPPPPP
Ber [7]

Answer:

:P

Step-by-step explanation:

3 0
3 years ago
Read 2 more answers
At a soccer match, for every goal team A scored, team B scored 3 goals. The ratio of the number of goals scored by team A to the
anastassius [24]

Answer:

1 to 3

Step-by-step explanation:

For every goal team A scored, team B scored 3 goals.

So when team A scores 1 goal,

Team B scores 3 goals.

1 goal, 3 goals

1:3, or 1 to 3

4 0
3 years ago
Read 2 more answers
If cosec θ - sec θ = 0, then the value of tan³ θ + 2 is:
krek1111 [17]

The value of tan³ θ + 2 = 3

Solution is in attachment !

7 0
3 years ago
A store charges 8% tax on every dollar spent. The table shows the tax amount for several different purchases. How much tax would
lara31 [8.8K]

Answer:

This online sales tax calculator solves multiple problems around the tax imposed on the sale of goods and services.

3 0
3 years ago
Read 2 more answers
Convert 50 percentage into fraction​
Paul [167]

Answer:

50/100, simplified to 1/2

Step-by-step explanation:

50% means half of 1.

1/2=.5 which is half of 1.

1=100%

.5=50%

1/2=50%

6 0
3 years ago
Read 2 more answers
Other questions:
  • Do any body know how to add a+50
    15·2 answers
  • Does the shape have rotational symmetry? If so, what is the angle of rotation, rounded to the nearest degree? A. no, 0° B. yes,
    12·2 answers
  • An experiment starts and the population of a bacteria culture increases by 10% in the first hour. Assume that the population inc
    9·1 answer
  • I bought one more pound of apples than i did bananas. Apples cost $3.40/lb and bananas cost $2.30/lb. My total cost was $31.90.
    14·1 answer
  • What is the graph of y = 0.4x
    10·2 answers
  • Can the following lengths be
    14·1 answer
  • Factor by Grouping <br> 2y2 + 7yz + 5z2
    15·1 answer
  • Drag each equation for the value of the n that makes it true.​
    11·1 answer
  • The vertices of a polygon are A(0, 4), B(5, 4), C(5, -3), and D(0, -3). Graph the vertices and connect them in order. What is th
    5·1 answer
  • What’s the absolute value of -136
    15·1 answer
Add answer
Login
Not registered? Fast signup
Signup
Login Signup
Ask question!